微机母线保护

中级(河南用户自传) • 2023-07-27 • 10+ 浏览


 微机线

 

发电厂和变电站的母线是电力系统中的一个重要组成元件,当母线上发生故障时,将使连接在故障母线上的所有元件在修复故障母线期间,或在转换到另一组无故障的母线上运行以前被迫停电。此外,在电力系统的枢纽变电站的母线上故障时,还可能引起系统稳定的破坏,造成严重的后果。

在母线保护中,最主要的是母差保护。就其作用原理而言,所有母线差动保护均是反映母线上各连接单元TA二次电流的向量和的。当母线上发生故障时,一般情况下,各连接单元的电流均流向母线;而在母线之外(线路上或变压器内部)发生故障时,各连接单元的电流有流向母线的,有流出母线的。母线上故障母差保护应动作,而母线外故障母差保护应可靠不动作。目前,微机型母差保护在国内各电力系统中已得到了广泛应用。

 

一、母线差动保护基本原理

比率制动原理的母线差动保护,采用一次的穿越电流作为制动电流,以克服区外故障时由于电流互感器(TA)误差而产生的差动不平衡电流,在高压电网中得到了较为广泛的应用。

1.动作电流与制动电流的取得方式

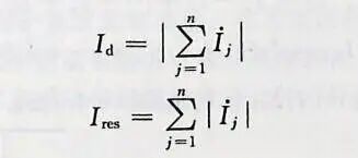
目前,国内微机型母线差动保护一般采用完全电流差动保护原理。完全电流差动是指将母线上的全部连接元件的电流按相均接入差动回路。决定母线差动保护是否动作的电流量是动作电流和制动电流。制动电流是指母线上所有连接元件电流的绝对值之和。动作电流是指母线上所有连接元件电流相量和的绝对值,即

 

图片


式中∶Ìj为各元件电流二次值(相量);Id为动作电流幅值;n为出线条数;Ires为制动电流幅值。

对于单母线接线,3/2断路器接线的母线差动保护动作电流的取得方式很简单,考虑范围是连接于母线上的所有元件电流。双母线接线方式却比较复杂,以下重点讨论双母线接线差动保护的电流量取得方式。

对于双母线接线的母线差动保护,采用总差动作为差动保护总的启动元件,反应流入Ⅰ、Ⅱ母线所有连接元件电流之和,能够区分母线故障和外部短路故障。在此基础上,采用Ⅰ母分差动和Ⅱ母分差动作为故障母线的选择元件。分别反应各连接元件流人Ⅰ母线(简称Ⅰ母)、Ⅱ母线(简称Ⅱ母)电流之和,从而区分出Ⅰ母线故障还是Ⅱ母线故障。因总差动的保护范围涵盖了各段母线,因此总差动也常被称为"总差"或"大差";分差动因其差动保护范围只是相应的一段母线,常被称为"分差"或"小差"。下面以动作电流为例说明总差动(大差)与分差动(小差)的电流取得方法。

1)双母线接线。如图7-1所示,以Ì1Ì2…、Ìn代表连接于母线的各出线二次电流,以ÌC代表流过母联断路器二次电流(设极性朝向Ⅱ母);以S11S12…、S1n,表示各出线与Ⅰ母所连隔离开关位置,以S21S22…、S2n表示各出线与Ⅱ母所连隔离开关位置,以Sc代表母联断路器两侧隔离开关位置,"0"代表分,"1"代表合;则差动电流可表示为

 

总差动     Id12+……+Ìn

 

Ⅰ母分差动  Id.11S112S12nS1nCSC

 

Ⅱ母分差动  Id.U1S212S22nS2nCSC

 

图片

 

2)母联兼旁路形式的双母线接线。如图7-2所示,与图7-1所不同的是S4闭合,S3打开时,母联由双母线形式中母线联络作用改作旁路断路器。以Ⅱ母带旁路运行为例,假设S1C打开,S2C闭合,则差动电流可表示为

 

总差动     Id12+……+Ìn+ÌC

 

Ⅰ母分差动  Id.11S112S12+……nS1n

 

Ⅱ母分差动  Id.U1S212S22+……+ÌnS2nC

 

图片


S4打开,S2CS3闭合时,又变成双母线接线,差动电流如式(7-3)~式(7-5)所示,式中SC=1。

3)旁路兼母联形式的双母线接线。如图7-3所示,跨条接于Ⅰ母,当S4S3S2C闭合时,QFc作为母联断路器,其差动电流如式(7-3)~式(7-5)所示,式中SC=1;如跨条接于Ⅱ母(图中虚线)当S4S3S1C闭合时,由于母联电流互感器的极性朝向Ⅰ母,差电流可表示为

 

总差动    Id12+……+Ìn

 

Ⅰ母分差动  Id.1S112S12+……nS1nC

 

Ⅱ母分差动  Id.Ⅱ1S212S22+……+ÌnS2nC

 

图片


2.复式比率差动母线保护的动作判据

在复式比率制动的差动保护中,差动电流的表达式仍为式(7-1)。而制动电流采用复合制动电流

 

图片


由于在复式制动电流中引入了差动电流,使得该元件在发生区内故障时因Id≈Ires复合制动电流|IresId|≈0,保护系统无制动量;在发生区外故障时Ires>>Id,保护系统有极强的制动特性。所以,复式比率制动系数Kres,变化范围理论上为0~∞,因而能十分明确地区分内部和外部故障。复式比率差动母线保护差动元件由分相复式比率差动判据和分相突变量复式比率差动判据构成。

1)分相复式比率差动判据。复式比率差动动作特性如图7-4所示,动作表达式为

 

图片

图片

式中∶Id.set为差动电流门槛定值;Kres为复式比率制动系数。

可见,在拐点之前,动作电流大于整定的最小动作电流时,差动即动作,而在拐点之后,差动元件的实际动作电流是按(IresId)成比例增加的。

2)分相突变量复式比率差动判据。根据叠加原理,将母线短路电流分解为故障分量及负载电流分量,其中故障分量电流有以下特点∶①母线内部故障时,母线各支路同名相故障分量电流在相位上接近相等(即使故障前系统电源功角摆开);②理论上,只要故障点过渡电阻不是无穷大,母线内部故障时故隆分量电流的相位关系不会改变。利用这两个特点构成的母线差动保护原理能迅速对母线内部故障做出正确反应。相应动作电流及制动电流为

 

图片

 

式中∶△Id为故障分量动作电流;△j1为各元件故障分量电流相量;n为出线条数。

 

图片


式中∶△Id.set为故障分量差动的最小动作电流定值;Kres为故障分量比率制动系数;Id为由式(7-1)决定的差动电流;Ires为由式(7-2)决定的制动电流;Id.set为最小动作电流定值。

由于电流故障分量的暂态特性,突变量复式比率差动判据只在差动保护启动后的第一个周期内投入。并使用比率制动系数为0.5的比率制动判据加以闭锁。

3.母线差动保护的动作逻辑

母线差动保护的动作逻辑框图关系如图7-5所示。

 

图片


大差动元件与母线小差动元件各有特点。大差的差动保护范围涵盖了各段母线,大多数情况下不受运行方式的控制;小差受运行方式控制,其差动保护范围只是相应的一段母线,具有选择性。

对于固定连接式分段母线,如单母分段、3/2断路器等主接线,由于各个元件固定连接在一段母线上,不在母线段之间切换,因此大差电流只作为启动条件之一,各段母线的小差既是区内故障判别元件,也是故障母线选择元件。

对于双母线、双母线分段等主接线,差动保护使用大差作为区内故障判别元件;使用小差作为故障母线选择元件。即由大差比率元件是否动作来区分区内还是区外故障;当大差比率元件动作时,由小差比率元件是否动作决定故障发生在哪一段母线上。这样可以最大限度地减少由于隔离开关辅助触点位置不对应造成的母差保护误动作。

考虑到分段母线的联络开关断开的情况下发生区内故障,非故障母线段电流流出母线,影响大差比率元件的灵敏度,因此,大差比率差动元件的比率制动系数可以自动调整。

母联开关处于合位时(母线并列运行),大差比率制动系数与小差比率制动系数相同(可整定);当联络开关处于分位时(母线分列运行),大差比率差动元件自动转用比率制动系数低值(也可整定)。

 

二、断路器失灵保护

电力系统中,有时会出现系统故障、继电保护动作而断路器拒绝动作的情况。这种情况可导致设备烧毁,扩大事故范围,甚至使系统的稳定运行遭到破坏。因此,对于较为重要的高压电力系统,应装设断路器失灵保护。

运行实践表明,发生断路器失灵故障的原因很多,主要有断路器跳闸线圈断线、断路器操作机构出现故障、空气断路器的气压降低或液压式断路器的液压降低、直流电源消失及操作回路故障等。其中发生最多的是气压或液压降低、直流电源消失及操作回路出现问题。

断路器失灵保护又称后备接线。它是防止因断路器拒动而扩大事故的一项重要措施。例如在图7-6(a)所示的网络中,线路L1 上发生短路,断路器 QF1拒动,此时断路器失灵保护动作,以较短的时限跳开 QF2、QF5 和 QF3,将故障切除。虽然,也可由 L2和L3 的远后备保护来动作跳开 QF6、QF7,将故障切除,但延长了故障切除时间,扩大了停电范围甚至有可能破坏系统的稳定,这对于重要的高压电网是不允许的。

规程对于220~500kV电网和110kV电网中的个别重要部分装设断路器失灵保护都做了规定。

1)线路保护采用近后备方式时,对 220~500kV分相操作的断路器,可只考虑断路器单相拒动的情况。

2)线路保护采用远后备方式时,由其他线路或变压器的后备保护切除故障将扩大停电范围,并引起严重后果时。

3)如断路器与电流互感器之间发生故障,不能由该回路主保护切除,而由其他断路器和变压器后备保护切除,又将扩大停电范围并引起严重后果。

断路器失灵保护的工作原理是当线路、变压器或母线发生短路并伴随断路器失灵时,相应的继电保护动作,出口中间继电器发出断路器跳闸脉冲。由于短路故障未被切除,故障元件的继电保护仍处于动作状态。此时利用装设在故障元件上的故障判别元件判别断路器仍处于合闸位置的状态。如故障元件出口中间继电器触点和故障判别元件的触点同时闭合时,失灵保护被启动。在经过一个时限后失灵保护出口继电器动作,跳开与失灵的断路器相连的母线上的各个断路器,将故障切除。断路器失灵保护原理框图如图7-6(b)所示。

保护由启动元件、时间元件、闭锁元件和出口回路组成。为了提高保护动作的可靠性,启动元件必须同时具备下列两个条件才能启动。

 

图片


1)故障元件的保护出口继电器动作后不返回。

2)在故障保护元件的保护范围内短路依然存在即失灵判别元件启动。

当母线上连接元件较多时,失灵判别元件可采用检查母线电压的低电压元件,动作电压按最大运行方式下线路末端短路时保护应有足够的灵敏度整定;当母线上连接元件较少时,可采用检查故障电流的电流元件,动作电流在满足灵敏性的情况下,应尽可能大于负载电流。

由于断路器失灵保护的时间元件在保护动作之后才开始计时,所以延时t只要按躲开断路器的跳闸时间与保护的返回时间之和整定,通常取0.3~0.5s。

为防止失灵保护误动作,在失灵保护接线中加设了闭锁元件。常用的闭锁元件由负序电压、零序电压和低压元件组成。通过与门构成断路器失灵保护的跳闸出口回路。

 

三、典型微机母线保护

目前电力系统母线主保护一般采用比率制动式差动保护,它的优点是可有效防止外部故障时保护误动。在区内故障时,若有电流流出母线,保护的灵敏度会下降。

微机母线保护在硬件方面采用多CPU技术,使保护各主要功能分别由单个CPU独立完成,软件方面通过各软件功能相互闭锁制约,提高保护的可靠性。此外,微机母线保护通过对复杂庞大的母线系统各种信号(输入各路电流、电压模拟量,开关量及差电流和负序、零序量)的监测和显示,不仅提高了装置的可靠性,也提高了保护可信度并改善了保护人机对话的工作环境,减少了装置的调试和维护工作量。而软件算法的深入开发则使母线保护的灵敏度和选择性得到不断的提高。如母线差动保护采用复合比率式的差动保护及采用同步识别法克服 TA饱和对差动不平衡电流的影响。

以下通过对 BP-2A 型微机母线保护装置的分析,来了解掌握微机母线保护的配置、原理、性能等基本知识。

1.微机母线保护配置

1)主保护配置。母线主保护为复式比率差动保护,采用复合电压及TA断线两种闭锁方式闭锁差动保护。大差动瞬时动作于母联断路器,小差动选择元件动作跳被选择母线的各支路断路器。这里母线大差动是指除母联断路器和分段断路器以外,各母线上所有支路电流所构成的差动回路某一段母线的小差动是指与该母线相连接的各支路电流构成的差动回路,其中包括了与该母线相关联的母联断路器或分段断路器。

2)其他保护配置。断路器失灵保护,由连接在母线上各支路断路器的失灵启动触点来启动失灵保护,最终连接该母线的所有支路断路器。此外,还设有母联单元故障保护和母线充电保护。

3)保护启动元件配置。母线保护启动元件有三种母线电压突变量元件,母线各支路的相电流突变量元件,双母线的大差动过电流元件。只要有一个启动元件动作,母线差动保护即启动工作。

2. 微机母线差动保护的TA变比设置

常规的母线差动保护为了减少不平衡差流,要求连接在母线上的各个支路TA变比必须完全一致,否则应安装中间变流器,这就造成体积很大而不方便。微机母线保护的TA变比可由菜单输入到微机保护装置,由软件进行不平衡补偿,从而允许母线各支路差动TA不一致,也不需要装设中间变流器。

运行前,将母线上连接的各支路变比键人CPU插件后,保护软件以其中最大变比为基准,进行电流折算,使得保护在计算差流时各TA变比均变为一致,并在母线保护计算判据及显示差电流时也以最大变比为基准。

 

四、典型微机母线保护程序逻辑

1.启动元件程序逻辑

启动元件由大差动电流越限Y1启动(大差动受复合电压H1闭锁)、母线电压突变启动、各支路电流突变启动三个部分组成,它们组成或门逻辑H2。母线差动保护启动元件程序逻辑框图如图7-7所示。

 

图片

 

启动元件动作后,程序才进入复式比率差动保护的算法判据,可见启动元件必须赶在差动保护计算判据之前正确启动,所以应当采用反应故障分量的突变量启动方式。启动元件的一个启动方式是母线电压突变启动,母线电压突变是相电压在故障前瞬时采样值u(t)和前一周期的采样值u(t一N)的差值。u(t—N)是对每周N个采样点而言,所以ΔUT=|u(t)-u(t—N)|,当△UT>△Uset(定值)时,母线电压突变启动。由于△UT是反映故障分量的,所以其灵敏度较高。各支路电流突变量类似于母线电压突变启动。△IT.n =|i(t)—i(t—N)|>△Iset时启动保护,△IT.n是指第n支路的相电流突变量。

为了防止有时电压和电流突变不能使启动元件动作,所以将大差动电流越限作为另一个启动元件动作的后备条件,其判据为Id>ld.set,及Ⅰ段的复合电压IUkfⅡ段的复合电压ⅡUkf动作,它们组成与门再与母线电压、电流突变量启动构成或门的逻辑关系,去启动保护系统。

2.母线复式比率差动保护程序逻辑

1)大、小差动元件逻辑关系。大、小差动元件都是以复式比率差动保护的两个判据为核心,所不同的是它们的保护范围和IdIres取值不同。因为一个母线段的小差动保护范围在大差动保护范围之内,小差动元件动作时,大差动元件必然动作,因此为提高保护可靠性,采用大差动与两个小差动元件分别构成与门Y1和Y2,如图7-8所示。

 

图片

 

2)复合序电压元件作用及其逻辑关系。图7-9中表示的复合电压元件,在逻辑上起到闭锁作用,防止了TV二次回路断线引起的误动,它是由正序低电压、零序和负序过电压组成的"或"元件。每一段母线都设有一个复合电压闭锁元件∶IUkfⅡUkf只有当差动保护判出某段母线故障,同时该段母线的复合电压动作,Y3或Y4才允许去跳该母线上各支路断路器。

 

图片


3)母线并列运行及在倒闸操作过程中,某支路的两副隔离开关同时合位,不需要选择元件判断故障母线时,在大差动元件动作的同时复合序电压元件也动作,三个条件构成的Y5动作才允许跳Ⅰ、Ⅱ母线上所有连接支路的断路器。

4)TA饱和识别元件原理以及逻辑关系。母线出线故障时,TA可能饱和。虽然母线复式比率差动保护在发生区外故障时,允许TA有较大的误差,但是当TA饱和严重超过允许误差时,差动保护还是可能误动的。某一出线元件TA的饱和,其二次电流大大减少(严重饱和时TA二次电流近似等于零)。为防止区外故障时由于TA饱和母差保护误动,在保护中设置TA饱和识别元件。

母差保护通过同步识别程序,识别TA饱和时,先闭锁保护一周,随后再开放保护,如图7-8所示。在饱和识别元件输出"1"时,与门3、4、5被闭锁。理论分析及录波表明TA饱和时其二次电流及其内阻的变化有如下几个特点。

1)在故障发生瞬间,由于铁芯中的磁通不能跃变,TA不能立即进入饱和区,而是存在一个时域为3~5ms(在110kV及以下系统中,TA变比较小时,TA饱和的时间可能更短)的线性传递区。在线性传递区内,TA二次电流与一次电流成正比。

2)TA饱和之后,在每个周期内一次电流过零点附近存在不饱和时段,在此时段内,TA 二次电流又与一次电流成正比。

3)TA饱和后其励磁阻抗大大减小,使其内阻大大降低。

4)TA饱和后,二次电流中含有很大的二次和三次谐波电流分量。

目前,在国内广泛应用的母差保护装置中,TA饱和识别元件均根据饱和后TA二次电流的特点及其内阻变化的规律原理构成。在微机母差保护装置中,TA饱和识别元件的识别方法主要是同步识别法及差流波形存在线性转变区的特点;也可利用谐波制动原理防止TA饱和差动元件误动。

3.母联失灵或母差保护死区故障的保护

在已被采用的各种类型的母差保护中,存在着一个共同的问题,就是死区问题。对于双母线或单母线分段的母差保护,当故障发生在母联断路器或分段断路器与母联TA或分段TA之间时,非故障母线的差动元件要误动,而故障母线的差动元件要拒动,如图7-10所示,即存在死区。

在母线保护装置中,为切除母联断路器与母联TA之间的故障,通常设置母联断路器失灵保护。因为上述故障发生后,虽然母联断路器已被跳开,但母联TA二次仍有电流,与母联断路器失灵现象一致。

在微机母线保护装置中设置有专用的死区保护,用于切除母联断路器与母联TA之间的故隆。即在上述情况下。需要进一步切除母线上其余单元。因此在保护动作。发出跳开母联断路器的命令后,经延时后判别母联电流是否越限,如经延时后母联电流满足越限条件,且母线复合电压动作,则跳开母线上所有断路器。母联失灵保护逻辑框图如图7-11所示。

 

图片

 

4.母线充电保护逻辑

母线充电保护是临时性保护。在变电站母线安装后投运之前或母线检修后再投入之前,利用母联断路器对母线充电时投入充电保护。

当一段母线经母联断路器对另一段母线充电时,若被充电母线存在故障,当母联电流的任一相大于充电保护的动作电流整定值时,充电保护动作将母联断路器跳开。母线充电保护逻辑框图如图7-12所示。

 

图片


为了防止由于母联TA极性错误造成的母差保护误动,在接到充电保护投入信号后先将差动保护闭锁。此时若母联电流越限且母线复合序电压动作,经延时将母联断路器跳开,当母线充电保护投入的触点延时返回时,将母差保护正常投入。

5.TA和TV断线闭锁与报警

TV断线将引起符合序电压保护误动个,从而误开放保护。TV断线可以通过复合序电压来判断,当I母UkfⅡUkf动作后经延时,如差动保护并未动作,说明TV断线,发出断线信号,如图7-13(a)所示。


图片


TA断线将引起复式比率差动保护误动,判断TA断线的方法有两种∶一种是根据差电硫越限而母线电压正常(H1输出“1”);另一种是依次检测各单元的三相电流,若某一相或两相电流为零(H3输出“1”),而另两相或一相有负载电流(H2输出“1”),则认为是TA断线。其判断逻辑图如图7-13(b)所示。

 

 

五、典型母线差动保护动作程序流程

母线差动保护的程序部分由两方面组成∶一个是在线保护程序部分,由其实现保护的协能另一个是为方便运行调试和维护而设置的离线辅助功能程序部分。辅助功能包括定值整定、装置自检、各交流量和开关量信号的巡视检测、故障录波及信息打印、时钟校对、内存清理、串行通信和数据传输、与监控系统互联等功能模块。这些功能模块属于正常运行程序,它与在线保护程序及主程序之间的关系如图7-14所示。

 

图片


主程序在开中断后,定时进入采样中断服务程序。在采样中断服务程序中完成模拟量及开关量的采样和计算,根据计算结果判断是否启动,若启动标志为1,即转入差动保护程序。母线差动保护程序流程图如图7-15所示。

 

图片

 

进入母线差动保护程序,"采样计算"首先对采样中断送来的数据及各开关量进行处理,随后对采样结果进行分类检查,根据母联断路器失灵保护逻辑判断是否为死区故障。若为死区故障,即切除所有支路;若不是死区故障,再检查是否线路断路失灵启动。检查失灵保护开关量,如有开关量输入,经延时失灵保护出口跳开故障支路所在母线所有支路;若不是线路断路器失灵,检查母线充电投入开关量是否有输入,若有开关量输入,随即转入母线充电保护逻辑。如果TA断线标志位为1,则不能进入母线复式比率差动程序,随即转入TA断线处理程序。

以上所述"死区故障""失灵启动""充电启动"等程序逻辑中有延时部分,在延时时间未到的时候都必须进入保护循环,反复检查判断及采样数据更新,凡是保护启动元件标志位已为"1"者,均要进入母线复式比率差动程序逻辑,反复判断是否已有故障或故障有发展等,例如失灵启动保护是线路断路器失灵,在启动后延时时间内有否发展为母线故障,必须在延时时间内进入母线复式比率差动保护程序检查。

母线是电能集中和分配的重要场所,是电力系统中重要的元件之一。虽然母线结构简单且处于发电厂、变电站内,发生故障的概率相对其他电气设备小。但母线发生故障时,接于母线上的所有元件都要断开,造成大面积停电。因此,应该引起高度重视。