接地短路的零序电流保护

中级(河南用户自传) • 2023-07-27 • 10+ 浏览


接地短路的零序电流保护

 

在中性点直接接地电网中,线路正常运行时系统对称,线路首端测得的零序电流约为零;当发生接地故障时,将出现很大的零序电流。我国110kV及以上电压等级的电网,中性点均直接接地。统计表明,中性点直接接地电网中接地故障占故障总数的 80%以上。为保证系统的安全运行,中性点直接接地电网,广泛采用阶段式零序电流保护切除接地故障。阶段式零序电流保护的基本逻辑框图如图4-1所示。

 

图片

 

在中性点直接接地电网中,因零序电流保护简单可靠、灵敏度高、保护区较为稳定,所以在输电线路保护中获得了极为广泛的应用。零序电流可由电流互感器的零序滤过器获得,零序电压可由电压互感器开口三角获得。微机继电保护中也可以根据输入的三相电流、三相电压分别计算出零序电流、零序电压,称为自产零序。

 

一、阶段式零序电流保护

微机零序方向电流保护在许多基本原则上与常规的零序方向电流保护相一致。零序电流保护由多段组成,通常保护装置设有4段,并可根据运行需要而设置。单侧电源线路的零序电流保护一般为三段式,终端线路可以采用两段式;双侧电源复杂电网线路零序电流保护一般为四段式。

四段式零序电流保护中,全相时设置4个灵敏段,即工段、Ⅱ段、Ⅲ段、Ⅳ段;非全相运行时可设置两个不灵敏段,即瞬时动作的不灵敏工段和带延时的不灵敏Ⅱ段。

1.零序电流灵敏Ⅰ、Ⅱ、Ⅲ段的整定原则零序电流灵敏段是按如下原则配置的。

零序工段∶即躲过下一条线路出口处单相接地或两相接地短路时流过本保护的最大零序电流3I0.max

零序Ⅱ段∶其启动电流首先考虑和下一条线路零序电流工段相配合,并带有一个动作延时△t,以保证动作的选择性。

零序Ⅲ段∶其启动电流原则上是按躲过下一条线路出口处相间短路时所出现的最大不平衡电流Iunb.max,同时还必须要求各保护之间在灵敏系数上要逐级配合,即本保护零序Ⅲ段不超过相邻线路零序Ⅲ段的保护范围。

上述三段式保护,当有分支时,还应计及分支系数。

2.零序电流Ⅳ段

根据四统一设计的微机零序电流保护还设置有零序Ⅳ段。虽然三段式零序电流保护对于有的电力系统可以满足要求,但对于不同电压等级电网和各种重合闸方式的不同要求,这种单纯三段式零序电流保护很难满足要求;对于旁路断路器上的保护,由于它要代替的线路保护较多,为了运行方便,一般也要多设几段保护。为此在微机零序电流保护中设置了一个附加零序电流元件I04和时间元件t04,该附加段就是零序电流Ⅳ段。实际上,零序Ⅳ段的保护区域已进了区外范围,其定值一般整定得较小。在后备保护以及保证本线路经较大的过渡电阻接地仍有足够灵敏度,非全相运行时零序电流可能超过其定值而引起保护动作,因此零序Ⅳ段时间元件的整定必须使保护躲过重合闸周期。由于零序Ⅳ段定值低,有足够高的灵敏度,在微机继电保护中常用该段整定值作为保护的零序辅助启动元件,它与相电流差突变量元件一起担负启动的功能。

3.零序不灵敏Ⅰ、Ⅱ段

 220kV及以上电压等级的输电线路中,考虑到单相重合闸所造成的非全相运行状态。需设置零序电流保护不灵敏Ⅰ段和灵敏Ⅰ段(某些情况下也可能只设一个第工段,而设不灵敏Ⅱ段和灵敏Ⅱ段)。灵敏Ⅰ段在单相重合闸过程中要退出运行,不灵敏工段按躲过非全相振荡时出现的最大三倍零序电流整定,在故障及重合过程中都不退出。灵敏工 段在第一次故障时动作,在单相重合闸时,退出运行。在三相重合闸时,灵敏工段动作要带短延时,以躲过重合闸时断路器三相触头不同期合闸的时间。

对于零序电流保护Ⅱ段,一般来说定值躲不过本线路非全相运行产生的零序电流,而Ⅱ段时限小于非全相运行时间,因此零序电流保护Ⅱ段在单相重合时应退出运行。设置零序不灵敏Ⅱ段是为了在单相重合闸周期内使其与相邻线路保护配合,以改善相邻线路后备段的整定配合条件。

零序电流Ⅲ段动作时间较长,一般长于重合闸周期,非全相运行时无需退出。另外,类似相间短路的电流保护,也可采用零序反时限电流保护。

 

二、零序方向电流保护1.零序方向元件

零序电流的计算、零序方向元件实现方法已在第二章第二节分析讨论过,因此本节仅说明零序方向电流保护的有关问题。

当保护方向上有中性点接地变压器时,无论被保护线路对侧有无电源,保护反方向发生接地故障,就有零序电流通过本保护,如图4-2所示。因此,当零序电流Ⅰ段不能躲过反向接地流过本保护的最大零序电流,或零序过电流保护时限不配合时,应配置零序方向元件以保证保护的选择性。图4-2中k点接地短路时,零序方向元件1、2为正方向,3为反方向。

 

图片

 

作为零序电流保护,动作概率较高,为提高动作可靠性,应使保护尽量简化。为此,凡不用零序方向元件控制就能获得零序电流保护选择性,则不应采用零序方向元件,除非采用零序方向元件后,保护的性能得到显著改善。一般情况下,起后备作用的最末一段(包括非全相运行线路"不灵敏Ⅰ段")不经方向元件控制,其他各段,根据实际选用的整定值,能保证选择性和一定灵敏度时,也不宜经方向元件控制。如图4-2所示,保护3的零序电流Ⅰ段整定值,若能躲过MN 线路出口接地短路故障流过保护3的最大零序电流,则保护3的零序电流Ⅰ段可不必经方向元件控制。

2.零序电压与零序电流的相位关系

保护安装处的零序电流以母线流向被保护线路为正向,正方向发生接地故障时的零序网络如图4-3(a)所示。保护安装处的零序电压是零序电流在该处背后零序阻抗上电压降的负值,与故障点到保护安装处的阻抗无关。相量图如图4-3(b)所示,ÌKA表示A相的短路电流,ÉA表示A相电动势,ÙkBÜkC分别表示A相接地故障时B、C两相的电压。

 

图片


零序电流是由故障点的零序电压产生的。零序电流的大小取决于接地的中性点数目及电流通路中的零序阻抗值。零序电流的实际方向是由线路指向母线,即实际方向与规定正方向相反。当被保护线路上发生接地故障时,零序功率的方向是由线路经保护安装处流向母线的。

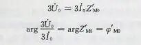
其中ZM0为保护2安装处背后的零序阻抗。由图4-3(a)可得

 

图片


式中∶φM0为保护安装处背后的零序阻抗ZM0的阻抗角,一般为70°~85°。

由式可见,保护正方向发生故障时,0滞后0的相角为95°~110°;而且不受过渡电阻R。的影响。图4-4(a)示出了反方向故障时的零序网络,相量图如图4-4(b)所示。

 

图片

 

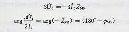
其中Zm为保护3安装处正方向的等值零序阻抗。由图可得

 

图片

 

可见,保护反方向上接地故障时,0超前0的相角为70°~80°。同样3Ù00的相位关系不受过渡电阻Rg的影响。

3.关于零序方向元件的工作

零序方向元件十分灵敏,0电压应躲过不平衡电压的影响,否则不能保证判别接地故障

方向的正确性。为此,零序方向元件只有在0达一定值时才投入工作,一般取值为2~3V。

电压互感器二次回路断线时(零序方向元件取用自产零序电压),零序方向元件工作的正确性得不到保证,此时零序方向元件自动退出工作,零序方向电流保护变为零序电流保护。在电压互感器二次回路断线期间,可自动投入两段相电流元件(定值与时限可分别设定),以加大切除短路故障的可靠性(此时距离保护已被闭锁)。

 

三、零序电流保护中的后加速

由于零序电流保护反应的是接地故障,不反应相间短路故障,因此不论零序电压取用母线侧电压互感器还是线路侧电压互感器,当三相合闸(自动重合和手动合)于出口接地故障时,零序方向元件可灵敏动作而没有死区,所以零序电流加速段经零序方向元件控制。零序电流加速段独立设置,定值和延时可独立整定。当然,本线末端接地故障时,加速段的灵敏度应满足要求;与零序电流速断相同,为躲过断路器三相触头不同时接通产生的零序电流,加速段的时限取100ms或200ms。

此外,为防止合闸于空载变压器时励磁涌流引起零序后加速误动,零序加速段可以由控制字选择是否需要投入二次谐波闭锁,二次谐波的制动比选为18%。

 

四、零序方向电流保护动作逻辑

阶段式零序方向电流保护动作逻辑如图 4-5所示,说明如下。

 

图片

 

零序保护由自产零序和外接零序共同启动,开放与门M5、M6、M7、M8、M9。零序方向元件经对应控制字由与门M5、M6、M7、M8构成Ⅰ、Ⅱ、Ⅲ、Ⅳ零序方向保护。TV断线时自动退出零序方向元件,可通过控制字在 TV断线时将零序工段保留。手动及重合闸合闸时通过与门 M9使零序加速段以100ms 或200ms 后加速跳闸。