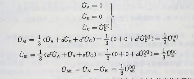
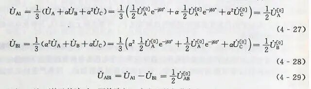
距离保护

中级(河南用户自传) • 2023-07-27 • 10+ 浏览


 

一、阶段式距离保护的组成

1.距离保护的工作原理

距离保护是从根本上解决电力系统运行方式对继电保护中故障点定位与判别影响的一种方法。由于目前短路距离的测量很困难,实际上都是通过间接反映短路距离的量来实现距离保护。通常距离保护即是通过短路阻抗的测量来实现距离测量的保护。

用阻抗测量代替距离测量实现的距离保护实际上应称为阻抗保护。所以严格来说,现在继电保护中所谓的距离保护实际上是阻抗保护,为了保证这种保护能实现正确的故障判断和测量,它拥有继电保护最复杂的结构和逻辑设计,其根本原因就是因为用阻抗测量代替了距离测量。以下分析的距离保护实际上是阻抗保护。

以阻抗测量构成的距离保护在原理上与电流保护完全相同,只不过用阻抗测量代替电流测量,仍旧是通过电气量的定量测量确定故障性质及故障位置的保护。同电流保护一样,距离保护也由三段构成。通过测量阻抗实现的距离保护原理图如图4-12所示。


图片


1)距离保护Ⅰ段。相当于电流速断保护,它是依靠动作阻抗定值Zset.I取得动作选择性,因而动作无时限。为了防止区外故障时失去选择性,故Zset.I应取被保护线路全长阻抗的一部分(80%~85%)。

距离保护工作原理与电流速断保护不同,因线路全长阻抗由线路长度决定,是一个基本不变的数值,不随系统运行方式而变,故距离保护工段的保护区比电流速断保护长得多,一般可达线路全长的80%~85%,并且不受系统运行方式影响。

2)距离保护Ⅱ段。相当于延时电流速断保护,它与下段线路瞬时保护配合,如下段线路也采用距离保护,则其整定阻抗 Zset.Ⅱ不超过下段线路距离Ⅰ段的保护范围。

当距离保护Ⅱ段同下段线路速断保护配合时,应带有时限 △t(0.3~0.5s)。以阻抗测量构成的距离保护的保护原理同电流保护没有多大的不同,但在保护性能上要好得多。第一,它瞬时动作保护区可稳定地包括被保护线路长度的80%~85%;第二,延时速断保护性质的距离Ⅱ段使线路全长均可得到可靠保护,而且具有较高的灵敏性。

3)距离保护Ⅲ段。距离保护Ⅲ段相当于电流保护中的过电流保护,它是依靠时限取得动作选择性的,其阻抗整定值 Zset.Ⅲ按躲过最小负载阻抗整定。距离保护Ⅲ段的动作时限由阶梯原则全电网配合决定。

距离保护Ⅲ段除构成被保护线路可靠的后备保护作用外,还可以构成相邻线路的远后备保护。另外,阻抗是一个复数量,不仅能从阻抗值的大小判别故障,而且能从相位(方向),即阻抗角来区分。由于负载阻抗角较小而短路阻抗角较大(60°~90°),故距离保护Ⅲ段能取得较高的灵敏性。

综上所述,按阳阻抗测量原理构成的距离保护与电流保护相比,保护性能要优越得多。但是不管是用什么原理构成的距离保护,都有一个最大的缺点,不能构成被保护线路全长的快速主保护,因为距离保护也是反应线路一侧电量的保护。

2.距离保护的组成

距离保护受系统运行方式影响小,因此在高压、超高压电网中广泛采用。微机距离保护般由启动部分、测量部分(句括方向测量和距离测量)、振荡闭锁部分、电压回路断线失电压闭锁部分、选相部分、逻辑部分等构成。

三段式距离保护组成逻辑如图4-13所示。其中各主要元件的作用如下。

 

图片

 

1)电压二次回路断线闭锁元件。当电压二次回路断线时,测量电压Um=0,测量阻抗Zm=0,保护会误动作。为防止电压二次回路线断线时保护的误动作,当出现电压二次回路断线时将阻抗保护闭锁,见图4-13中的1。

2)启动元件。当系统发生短路故障时,立即启动保护装置,开放距离保护Ⅰ、Ⅱ、Ⅲ段。再由测量元件判别故障点位置,见图 4-13中的2。

3)工、Ⅱ、Ⅲ段测量元件。ZI、Zu、Zm用来测量故障点到保护安装处阻抗的大小(距离的长短),判别故障是否发生在保护范围内以决定保护是否动作,见图 4-13中的3。

4)振荡闭锁元件。振荡闭锁元件是用来防止当电力系统发生振荡时距离保护误动作的。在正常运行或系统发生振荡时,振荡闭锁装置将保护闭锁;而当系统发生短路故障时,解除闭锁开放保护。为防止短路引起的振荡造成距离保护误动,短时(0.15~0.2s)开放距离保护Ⅰ、Ⅱ段,见图4-13中的4。

5)时间元件。根据保护间配合的需要,为满足选择性而设的必要的延时,见图4-13中的5。

正常运行时,启动元件,ZZZ均不动作,距离保护可靠不动作。当被保护线路发生故障时,启动元件启动、振荡闭锁元件开放,ZZ正、Z测量故障点到保护安装处的阻抗。在保护范围内故障,保护出口跳闸。

阻抗的变化包括幅值的变化和相角的变化,阻抗表示在复平面上为矢量,不同方向的矢量是不能比较大小的;所以阻抗保护不能简单仿照电流保护的动作特性,只要通过电流元件的电流大于动作电流Iop就动作。阻抗元件要测量阻抗幅值的变化和相位的变化,其动作特性为复平面上的"几何面积"(称为动作区),当测量阻抗Zm落入动作区时动作,当测量阻抗 Zm落在动作区外时不动作。以下详细介绍各组成部分。

 

二、距离保护启动

1.启动元件的作用

1)启动故障测量程序。正常运行时,保护装置运行于正常运行程序,启动元件一动作,表示系统发生了故障,由正常运行程序转入故障测量程序,由测量元件判别故障在保护区内还是在保护区外。

2)闭锁作用。启动元件动作后才给上保护装置出口继电器正电源,正常情况下保护装置发生异常情况时是不会误动作的,此时启动元件起到闭锁作用,提高了装置工作可靠性。需要指出,保护装置的启动元件,从数据采集到出口是独立的,以提高整套保护装置工作的可靠性。

3)兼起振荡闭锁作用。当系统发生振荡时启动元件不动作,因此启动元件起到了振荡闭锁作用。

2.对启动元件的要求

启动元件应能灵敏、快速地反应各种类型的短路故障,故障切除后应尽快返回,不反应系统振荡。作为距离保护,电压互感器二次回路断线失电压时阻抗测量元件要发生误动作,为防止保护装置误动作,启动元件应采用电流量而不应采用电压量。

3.距离保护中启动元件的构成

距离保护中的启动元件主要由两部分构成;第-部分是带有浮动门槛的相电流差突变量启动或带有浮动门槛的相电流突变量启动,见第二章第二节的相关内容;第二部分是零序电流启动和负序电流启动。应当指出,在中性点不接地或经消弧线圈接地电网中的距离保护中,上述第二部分启动元件改用过电流启动、负序电流启动。

 

三、距离保护中的阻抗测量元件

数字式距离保护中阻抗及故障方向的测量由方向阻抗元件来实现,方向阻抗元件有两种类型∶动作方程判别式方向阻抗元件和测量阻抗(R,X)式方向阻抗元件。在动作方程判别式方向阻抗元件中,阻抗测量和故障方向测量由同一判别方程实现。不测量出故障点到保护安装处的线路阻抗具体值,只判别故障点在保护区内还是在保护区外;测量阻抗式方向阻抗元件中。测量出故障点到保护安装处的线路阻抗具体值,当故障在保护正方向上、测量出的阻抗值在设定范围内时,测量式方向阻抗元件就处于动作状态。

在中性点直接接地电网中,设有相间距离保护和接地距离保护,在中性点不直接接地电网中,不设接地距离保护。有时相间距离保护也改用三段式电流保护代替。

(一)测量式方向阻抗元件

作为反应短路故障的数字式方向阻抗元件,要解决的主要问题是∶一是要克服故障点过渡电阻的影响,使保护区稳定;二是在正向出口三相短路故障时应可靠动作,反向出口三相短路故障时应可靠不动作,即正、反向出口三相短路故障时应有明确的方向性,保护区内部接地短路故障时允许有较大的过渡电阻。

常规模拟式保护阻抗元件通常以圆特性为基础,并直接按动作方程完成判别功能。圆特性的阻抗元件在整定值较小时,动作特性圆也比较小,区内经过渡电阻短路时,测量阻抗容易落在区外,导致测量元件拒动作;而当整定值较大时,动作特性圆也较大,负载阻抗有可能落在圆内,从而导致测量元件误动作。具有多边形特性的阻抗元件可以克服这些缺点,能够同时兼顾耐受过渡电阻的能力和躲负载的能力,而微机距离保护中最常用的为四边形和六边形特性。

利用微机的强记忆功能和快速计算能力,根据第二章所述的傅氏算法算出电压、电流的实部、虚部,并由此计算出阻抗的实部、虚部;或R-L模型算法直接由采样值计算出阻抗的实部R、虚部X值,计算所得的结果就是测量阻抗。由此判定故障点是否处于阻抗元件的动作区内。

当阻抗元件用于反应相间短路故障时,通常采用相电压差和相电流差的接线方式。其测量阻抗Z可表示为

 

图片


式中∶Um为保护安装处的相电压差,φφ=AB、BC、CA;Ìφφ为保护安装处流向被保护线路的相电流差,φφ=AB、BC、CA。

当阻抗元件用于反应接地短路故障时,通常采用相电压和带有零序电流补偿的相电流,其测量阻抗Zm可表示为

 

图片

 

式中∶Ùφφ为保护安装处相电压,φ= A、B、C;Ìφ为保护安装处流向被保护线路的相电流,φφ= A、B、C;3Ìφ为保护安装处流向被保护线路的零序电流(三倍);K为零序电流补偿系数。

1.四边形阻抗元件

四边形阻抗元件是最简单的构成方法。该测量式方向阻抗元件由偏移特性阻抗元件、电抗元件、方向元件构成,如图4-14所示。

1)偏移特性阻抗元件。其特性如图中ABCD内区域所示,其判据为

X'set≤Xm≤Xset

R'set≤Rm≤RsetXmcotφset

式中∶RmXm为测量电阻、电抗;XsetX'set为整定电抗值;RsetR'set四为整定电阻值set为整定的阻抗角。

 

图片

 

显而易见,正、反向出口相间短路(包括三相短路)时,Xm≈0、Rm≈0,动作判据满足,偏移特性阻抗元件处于动作状态。

2)方向元件。由 EOF折线构成方向元件,其特性如图4-14中EOF折线右上方内区域所示,用于反映相间短路故障的方向元件判据为

 

图片

 

式中∶Ùφφ1为保护安装处相间电压的正序分量,φφ = AB、BC、CA;Ìφ为保护安装处流向被保护线路的相电流差,go = AB、BC、CA。

正、反向出口两相短路故障时,因正序电压较高,所以方向元件有明确的方向性;为保证正、反向出口三相短路故障方向元件仍有明确的方向性,当三相电压均很低时(表明保护安装处附近发生三相短路故障),式中的电压采用故障前的电压(记忆)并将动作方向固定,从而消除了三相短路(保护出口处)时方向元件的死区。

3)电抗元件。其特性如图中X斜线所示,直线下方是动作区。动作方程可表示为

 

图片

 

式中∶Ùopφφ为工作电压,Ùpol为极化电压,阻抗判据为

 

图片

 

式中∶Zset为整定阻抗;θ为下倾角度。

电抗特性为过Z.端点下斜角为θ的一条直线。当采样点N=20时,取θ=9°。特性的下倾可克服短路故障处过疲电阻引起的保护区的超越。

4)接地故障的测量式方向阻抗元件。对反应接地短路故障的测量式方向阻抗元件,公式中的RmXm在测时用的是保护安装处的相电压和流向被保护线路带零序电流补偿的电流,见式(4-6)。方向元件也改用保护安装处相电压的正序分量和保护安装处带零序电流补偿的电流实现,即

 

图片


式中∶Úpl为保护安装处相电压的正序分量,φ= A、B、C;其他参数见式(4-6)。

保护安装处正、反向出口不对称短路故障时,因正序相电压较高,所以方向元件有明确的方向性。同样,三相电压均很低时,采用故障前的电压,消除了三相短路(保护出口处)时方向元件的死区。

考虑到接地故障有较大的过渡电阻,图4-14中的电抗元件也改用零序电抗元件来克服过渡电阻对保护区的影响。采用Ì0Úop.φ比相构成零序电抗元件时,动作方程为

 

图片

 

式中∶Zset为整定阻抗;β为倾角,可取正或负值。

式(4-13)表示Zm动作特性是过Zset端点,与R轴的倾角为β的一条直线,当保护装于送电侧时特性下倾,当保护装于受电侧时特性上翘。一般β角比θ略大,更能有效克服过渡电阻引起的保护区的超越。

5)三段测量式阻抗元件动作特性。如图4-15 所示为三段测量式阻抗元件的动作特性。四边形A1B1CD、方向元件 EOF、电抗元件X1构成Ⅰ段动作特性,整定阻抗为Zset.1;四边形 ABCD、方向元件EOF、电抗元件X构成Ⅱ段动作特性,整定阻抗为Zset.Ⅱ四边形ABCD、方向元件EOF构成Ⅲ段动作特性,当Ⅲ段不带方向时,仅是 AmBmCD 四边形构成Ⅲ段动作特性,整定阻抗为ZsetⅢ。因Ⅲ段阻抗特性较大,不需采用电抗元件来克服过渡电阻对保护区的影响。设定不同的Rset值,可使保护区内短路故障时允许有不同的过渡电阻。

三段式接地阻抗元件的动作特性将图4-15中XX的电抗元件变为零序电抗元件即可。


图片


PSL系列微机继电保护装置阻抗测量采用上述四边形阻抗元件。

2.多边形阻抗元件

WXB系列微机距离保护采用方向多边形阻抗元件的动作特性,如图4-16所示。图4-16(a)为方向阻抗特性,图4-16(b)为偏移阻抗特性。

判断测量阻抗是否落在动作区内的判据不能像常规模拟型距离保护用一个简单的动作方程式来判别,其原因是动作特性不是一个规则形状。为此将图4-16(a)的动作特性划分为三个区域,分别为 A、B、C区。其中动作特性在第二象限的部分为A区,动作特性在第一象限的部分为B区,动作特性在第四象限的部分为C区。

 

图片

 

设测量阻抗Zm的实部为Rm,虚部为Xm,测量阻抗在第Ⅱ象限动作区的判别式可以表示为

 

图片

 

测量阻抗落于第Ⅰ象限动作区的特性可以表示为

 

图片

 

落于第Ⅳ象限动作区的特性可以表示为

 

图片

 

式(4-14)、式(4-15)、式(4-16)可以方便地在数字式保护中实现。

为保证在正方向出口发生短路时,阻抗元件可靠动作,而在反方向出口发生短路时,阻抗元件应可靠不动作,在微机继电保护中采用与常规保护类似的方法,采用记忆方法判断出口短路的方向性。只不过在微机继电保护中,不用物理元件(R、C)实现记忆,而是用数据存储器中的数据实现记忆。在软件中,首先用故障前(相当于记忆电压)的电压与故障电流进行方向比较,以判断故障在正方向还是反方向,当判断为反方向后,则程序转入振荡闭锁部分;当判断为正方向故障时,则进一步判断是否为正方向出口故障,其方法是在图4-16(a)方向阻抗特性的基础上,叠加一个包含坐标原点在内的矩形小区域,以判别出口故障,如图4-16(b)所示。

偏移矩形区域的大小由XpRp决定。

Xp的取值原则∶当Xset>1Ω时,取Xp=0.5Ω;当Xset<1Ω时,取Xp=0.5Xset

Rp的取值原则∶取8Xp0.125Rset中的较小者。其中,Xset四按各段的整定原则整定,Rset按躲过输电线路的最小负载阻抗的电阻分量整定。

针对图4-16 的距离保护动作特性设计的判别流程图如图4-17所示。

CSL系列微机继电保护装置阻抗测量采用上述多边形阻抗元件。

 

图片

 

3.测量式距离保护动作逻辑

相间距离保护与接地距离保护的动作逻辑十分相似,如图4-18所示为测量式接地距离保护动作逻辑框图。图中,1KIφ2KIφ3KIφⅠ段、Ⅱ段、Ⅲ段的偏移特性阻抗元件;X。、Xo为I段、Ⅱ段的零序电抗元件;KWZ为Ⅰ段、Ⅱ段、Ⅲ段的方向元件;S。为选相元件;SWI、SWI2为工段、Ⅱ段的振荡闭锁开放元件;t1t2t3构成了I段、Ⅱ段、Ⅲ段的动作时限。

为便于故障相的阻抗测量,设置了选相元件。 工段、Ⅱ段的动作时限较短,为避免振荡时发生误动作,有振荡闭锁控制开放,而Ⅲ段动作时限可躲过振荡周期,不设振荡闭锁控制开放。

为防止发生转换性故障时Ⅱ段的零序电抗元件返回,所以Ⅱ段方向阻抗元件动作后对SφXoⅡ的动作进行固定。在距离Ⅲ段中,对SφKWZ的动作进行固定,防止了系统振荡和故障同时发生时,方向元件的周期性返回引起的保护拒动;此外,通过控制字可使Ⅲ段引入偏移特性。

 

图片

 

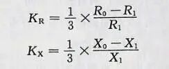
4.距离保护的零序补偿系数

在进行接地阻抗测量时,必须考虑零序补偿系数К,则

 

图片

 

式中∶R1R0分别为正序、零序电阻;X1X0分别为正序、零序电抗;Z1Z0分别为正序、零序阻抗。

当近似认为零序阻抗角等于正序阻抗角时,即X0/R0=X1/R1此时K成为一个实数,可表示为K,其虚部Im(k)=0。继电保护的零序补偿系数定值一般仅为一个实数,即Re(K),而不考虑X0/R0≠X1/R1的情况。

因此,零序补偿系数可表示为

 

图片


零序补偿系数应根据保护装置零序补偿系数的不同表达方式,进行对应的设置,有如下几种情况。

1)定值清单中的零序补偿系数为阻抗形式且是实数。选择以"KL"的表达方式,幅值为K,角度为0°,直接以阻抗幅值来表述零序补偿系数。如RCS系列保护。

 

图片


2)定值清单中的零序补偿系数分为"KR"和"Kx"。即以电阻及电抗形式来表述零序补偿系数。如CSL、PSL、WXB系列保护。

 

图片

 

注意∶这里KRKx并不能代表零序补偿系数K的实部及虚部,由KRKx 到K的换算为

 

图片


3)定值清单中提供的是零序电抗值、电阻值和正序电抗值、电阻值,可根据(2)的情况计算补偿系数,或定值清单中提供的是Z0/Z1,可根据(1)的情况计算补偿系数。国外的一些保护采用这种形式。

(二)动作方程判别式方向阻抗元件

动作方程判别式方向阻抗元件可单独构成阶段式距离保护。为了消除出口短路时的动作死区和保证动作的选择性,方向阻抗元件一般都有带极化电压的记忆回路,此电压有记忆故障以前的电压的功能。为分析动作方程判别式阻抗元件,首先介绍工作电压和极化电压的概念。

1.工作电压和极化电压

1)工作电压的概念。绝大多数阻抗元件是按照故障点的电压边界条件建立其动作判据的。当在保护区末端故障时,动作判据应处于临界状态。为了反映此状态,在阻抗元件中要形成或计算出保护区末端的电压,一般称为工作电压。工作电压又称为补偿电压,通常用Ü表示,定义为保护安装处测量电压Úop与测量电流Ìm的线性组合,即其计算式为

 

Úop=Úm-ÌmZset

 

式中∶Zset为整定阻抗,它对应图 4-19(a)中从母线M到整定点z的线路阻抗。

按照图4-19(a)所示的参考方向,在系统正常运行时,式中的工作电压Úop就是线路上整定点z点的运行电压,它在量值上接近额定电压,相位上基本与测量电压Úm同相位。

与分析测量式阻抗元件相同,这里,对于相间距离Úm取相间电压,Ìm取相电流之差;对于接地距离Úm取相对地电压,Ìm取带零序电流补偿的相电流。

实际上该工作电压,不仅在正常情况下,而且在振荡、正向区外故障(包括经过渡电阻短路)、反方向故障以及两相运行状态下都等于线路上z点的电压。唯有在保护区内发生故障时,工作电压不再有电路上的具体含义,仅是一个计算量。这是因为在母线和保护区末端之间出现了故障支路的缘故。

假设系统各元件阻抗角相等,故障相在沿线路各点发生直接短路时,系统各点的电压相位相同。在不同地点短路时,故障相系统的工作电压分布如图4-19所示。图中对接地故障,Úm为故障相母线对地电压;对相间故障,Úm为故障相间电压。

如图4-19(b)所示为正向区外k2点短路时的电压分布,显然,Úm为母线M处的残余电压,而Úop是整定点z点的残余电压,两者相位相同。

如图4-19(c)所示为反方向k3点短路时的电压分布,ÚmÚop分别为N侧电源电流在M、z处的残余电压,这时Úop也与Úm相位相同。

如图4-19(d)所示为正向区内k1点短路时的电压分布,从图中可以看出ÚmM侧电源电流在 M处的残余电压;ÚopmZk1Zset=-Ìm(Zset-Zk1),系统中没有任何一点的实际电压与其对应,可以看作是Úm0V之间连线的延长线在z点的值。此时,文。与Úop与Úm相位相反。

 

图片


从相位关系看,在区外故障时,Úop的相位不变,而在区内故障时,改变了180°。绝大多数距离保护阻抗元件都是反应Úop的相位变化。为了测量一个交流量的相位,必须以另一个交流量的相位作为参考,即参考量(或极化量)。

Úm作为参考相量,根据不同故障情况下Úop相对U相位的差异,就可以区分出故障点所在的区段。即ÚopÚm反相位时判断为区内故障,ÚopÚm同相位时判断为区外故障。

Úm的作用是作为判断Úop相位的参考,所以称为参考电压或极化电压。当故障发生在靠近保护安装处时,测量电压U。很小或为零,无法比相。这样,保护将拒绝动作,这种靠近保护安装处故障引起保护拒动的区域称作死区。因此,直接用U,作为比相的参考电压时无法保证出口短路时的选择性。为克服这一缺点,应选择相位不随故障位置变化、在出口短路时不为0的电压量作为比相的参考电压。选择不同的极化电压将得到不同特性的阻抗元件,通常情况下,取正序电压为极化(参考)电压。

2)正序极化电压。在保护出口发生各种类型的短路时,故障相或相间的电压下降为0,但除三相对称性故障以外,在各种不对称故障时,非故障相的电压都不会为0,并且其相位也不会随故障位置的变化而变化。所以,如果引入非故障相的电压作为比较Úop相位的参考电压,在保护出口发生各种不对称性故障情况下,可望克服上述以Úm为极化电压的测量元件存在的缺点。

由对称分量算法可知,正序电压是由三相电压组合而成的,用它来作为参考电压,就相当于在参考电压中引入了非故障相电压,以下说明正序电压在各种短路情况下的相位和幅值。假设短路前后非故障相的电压不变,这与实际情况是近似的。以最严重的出口短路为例。

1)A 相单相接地短路。保护出口 A相单相接地短路时,保护安装处的正序电压为

 

图片

 

对称分量法分析及相量分析均表明,出口单相接地故障时,故障相正序电压的相位与该相故障前电压的相位相同,幅值等于该相故障前电压的2/3。相量图如图4-20(a)所示。

 

图片

 

2)A、B相两相接地短路。出口 A、B相两相接地短路时的正序电压为

 

图片

 

即出口两相接地故障时,两故障相正序电压的相位都与对应相故障前电压的相位相同,幅值等于故障前电压的1/3两故障相间正序电压的相位与该两相故障前相间电压的相位相同,幅值等于故障前相间电压的1/3。相量图如图4-20(b)所示。

3)A、B相两相不接地短路。出口 A、B相两相不接地短路时的正序电压为

 

图片

 

即出口两相不接地故障时,两故障相正序电压的相位都与对应相故障前电压的相位相同,幅值等于故障前电压的1/2两故障相间正序电压的相位与该两相故障前相间电压的相位相同,幅值等于故障前相间电压的1/2。相量图如图4-20(c)所示。

4)A、B、C三相对称短路。出口A、B、C三相对称短路和三相短路接地时,保护安装处的三相电压全为0,正序电压也为0。

以上分析表明,在出口发生各种不对称短路时,故障回路上的正序电压都有较大的量值,相位与故障前的回路电压相同。

出口三相短路时,各正序电压都为0,正序参考电压将无法应用。可采用低电压阻抗元件。但当发生非出口三相短路时,正序电压将不再为0,变成相应相或相间的残余电压,如果残余电压不低于额定电压的10%~15%,正序极化电压就可以应用。

2.采用正序极化电压的动作方程式方向阻抗元件

以正序电压为极化量的相间阻抗元件采用比较工作电压与极化电压相位的原理,极化电压采用正序电压。当正方向出口两相短路时,故障相间电压为零,但正序电压不等于零,所以不用记忆,极化电压仍然不为零。以下分析该元件的特性。

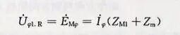
1)正方向故障的特性分析。正序电压作为参考电压时,阻抗元件常用的相位比较方程为

 

图片

 

式中Úpol为极化电压,Úpol=-Úφφ1,其中Úφφ1为保护安装处正序相间电压。

由图4-19可知,区内故障时工作电压Úop和极化电压ml为同相位,即上式中两者的角度小于±90°。

在图4-19所示的双侧电源的系统中,分析动作特性时不计负载电流的影响,其中ZM1为保护安装处到M侧系统的正序阻抗,正方向发生相间短路故障。


图片

图片


式(4-31)对应的特性在阻抗复平面上为一个以Zset与一ZMI末端连线为直径的圆,如图4-21(a)所示。由于极化电压采用正序电压,不带记忆。相间故障时其正序电压基本保留了故障前电压的相位。

 

图片

 

即在正向故障的情况下,以正序电压为参考电压的测量元件的动作特性变为一个包括坐标原点的偏移圆。正向出口两相短路时。测量阻抗明确地落在动作区内,不再处于临界动作的边沿,能够可靠地动作。此外,与整定阻抗相同的方向阻抗圆[如图4-21(a)中虚线所示]相比。该偏移圆的直径要大。因而其耐受过渡电阻的能力要比方向阻抗强。但值得注意的是,该偏移特性是在正向故障的前提下导出的,所以动作区域包括原点并不意味着会失去方向性。

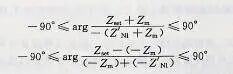
2)反方向故障的特性分析。下面再来讨论反方向故障的情况。反方向发生相间短路故障时,保护安装处实际电流的方向与规定的正方向相反。工作电压为Úop.φφ·m=Ì'φφZmÌ'φφ.Zset;极化电压为Úφφ1φφZ'N1、十Zm)。其中,Ì'φφN系统侧流向故障点的电流,与Ìm规定方向相反,Z'N1为保护安装处到N侧系的正序阻抗。代入式(4-30)可得到故障相的阻抗元件反方向特性为

 

图片

 

在复平面上,式(4-32)表示反向短路故障时的动作特性,是一个以ZsetZ'N1末端连线为直径的上抛圆,如图4-21(b)所示。明显可见,反向两相短路故障时方向阻抗元件不动作。测量阻抗Zm处于第Ⅲ象限内,远离动作区域,可靠不动。反向远处短路时,因一Zm本身位于第Ⅲ象限内,不可能落入动作圆内,所以也不会动作。这表明,以正序电压为参考电压的测量元件具有明确的方向性。

反向出口三相短路故障时,因动作特性过坐标原点而可能发生误动作但此时方向阳抗元件进入低压程序处理,并能迅速判断出故障在反方向上,保护不可能动作。

实际应用中,对于相间距离的测量元件测量电压取相间电压(AB、BC、CA),极化电压取对应的正序电压带偏移角0,比相动作的方程为

 

图片


式中∶取极化电压Úpol =—Úφφ1eφφ,其中Úφφ1为保护安装处正序相间电压,θφφ为设定的角度,可设定为0°、15°和30°;其他同式(4-30)。

带有偏移的圆特性方向阻抗元件动作特性如图4-22所示,为了提高距离元件抗过渡电阻的能力,在实际应用中极化电压根据需要向第一象限适当偏移某个角度,偏移θ角度,取0°、15°和30°三种。

 

图片

 

正向两相短路故障的动作特性如图4-22(a)所示。图中 Zset为整定阻抗。特性包含坐标原点,说明出口短路故障无死区,有很好的方向性。保护区由整定阻抗Z确定。当θφφ≠0时,动作特性向第工象限偏转并扩大,使区内短路故障时允许有较大的过渡电阻。这在较短线路上应用时显得更有必要。

三相短路且正序电压较低时,由于极化电压无记忆作用,其动作特性为一过原点的圆,如图4-22(b)所示。正向三相短路故障的动作特性经过坐标原点,在三相出口金属性短路时有死区,说明出口短路可能拒动。因此当正序电压低于10%时,进入低压程序,由低压方向阻抗元件测量。总之,既不存在死区也不存在母线故障失去方向性的问题。

虽然正、反向出口三相短路故障时由低压方向阻抗元件保证方向性,但为更可靠起见,I段、Ⅱ段方向阻抗元件同样设为正门槛运行,动作后变为负门槛运行,从而确保了Ⅰ段、Ⅱ段方向阻抗元件明显的方向性。

3)接地短路故障的测量元件的特性。反应接地短路故障的测量元件,测量电压取相电压Úφφ可取A、B、C),极化电压取保护安装处正序相电压-Úφ1,带偏移角θ,比相动作的方程为

 

图片

 

正序电压偏移角θφ 0°、15°、30°和45°共4挡可选,使得其耐弧能力更强。动作特性与反应相间短路故障的阻抗元件的特性相同。

方向阻抗元件动作特性向第Ⅰ象限偏移后,在下级线路的首端故障,上级保护有超范围动作的可能。为了防止这种无选择性的动作,可以采用增加具有直线特性的电抗元件来加以限制,用下斜的直线特性将超范围部分的动作区去掉。

由上述分析可见,在工作电压完全相同的情况下,选取不同的极化电压时,可以获得不同的动作特性。当极化电压的相位与故障相电压的相位一致时,所得到的动作特性为具有方向性的圆特性。当参考电压的相位与故障相电压相位不一致时,所得到的特性将发生偏转。

3.低压方向阻抗元件

上述以正序电压为极化电压的方法,因在出口三相对称性短路时三相电压都降为0,而失去比较的依据。这种情况下采用带记忆的低压方向阻抗元件作为测量元件。

低压方向阻抗元件用来消除动作方程判别式方向阻抗元件构成的距离保护在出口处的动作死区,即用来保证正向出口三相短路故障时保护的可靠动作,反向出口三相短路故障时保护可靠不动作。

当保护安装处的正序电压低于10%额定电压时,三相短路故障必发生在保护安装处正、反向出口附近。启动低压阻抗元件投入工作。根据对正序电压的分析,此时只能是三相短路或系统振荡,系统振荡由振荡闭锁回路区分,这里只需考虑三相短路。因三个相阻抗元件和三个相间阻抗元件性能一样,所以仅测量相阻抗。以A相为例分析,低压阻抗元件的动作方程为

 

图片


该方向阻抗元件的动作特性有暂态、稳态之分,暂态动作特性是指极化电压记忆作用尚未消失时的动作特性,稳态特性是指极化电压记忆作用消失后的动作特性。

1)正方向三相短路故障时的暂态特性。低压阻抗元件中极化电压采用带记忆的 A相正序电压。设故障母线电压与系统电动势同相位,正方向三相短路故障时,记忆作用消失前A相正序电压可表示为

 

图片

 

式中∶È为M侧的等效电动势,Zm为故障点到保护安装的线路阻抗。

由此得出正方向三相短路暂态动作特性为

 

图片


正方向三相短路故障时,Zm的暂态动作特性与式(4-31)完全相同,如图4-21(a)所示,也是以 Z端点和一ZM端点连线为直径的圆,圆内是 Zm的动作区。由于动作特性包含坐标原点,所以正向出口三相短路故障时都能正确动作,但并不表示反方向故障时会误动作(因为它只是正方向故障时t=0时刻的暂态特性)。

2)反方向三相短路故障时的暂态特性。反方向三相短路故障时,记忆作用消失前A相正序电压可表示为

 

图片


式中∶É、为N侧的等效电动势;Zm为保护安装处到反方向短路故障点的线路阻抗;Ì'φ。为由N 侧系统流向保护安装处的电流。

由此可得反方向三相短路暂态动作特性为

 

图片

 

反方向三相短路故障时Zm的暂态动作特性与式(4-32)完全相同,如图4-21(b)所示,也是以Z端点和Z'、端点连线为直径的圆,圆内是Zm的动作区。由于动作特性偏离坐标原点,故反向出口三相短路故障时,继电器可靠不动作。当反向三相短路故障远离保护安装处时,Zm向第Ⅲ象限方向离开坐标原点,更不会动作。


图片


需要说明,当进入稳态即记忆作用消失后,式(4-37)、式(4-39)的分母变为Z,即为稳态特性存在死区。

4.三段式动作方程判别相间阻抗元件的动作特性

三段动作方程判别式相间阻抗元件的动作特性如图4-23所示。阻抗圆Z、电抗元件XI构成I段动作特性,整定阻抗为Zset.Ⅰ;阻抗圆Z、电抗元件X构成Ⅱ段动作特性,整定阻抗为ZsetⅡ;阻抗圆Z构成Ⅲ段动作特性,整定阻抗为Zset。为使保护装置在长线路末端变压器后短路故障有后备作用(远后备),设有四边形特性阻抗元件,整定阻抗为Z'set.Ⅲ,如图4-23中虚线特性所示。Ⅲ段设置为偏移特性(负门槛),起近后备作用。

需要说明的是,动作方程判别式阻抗元件构成的距离保护、短路故障的方向、短路故障点的位置(区内或区外)是同时测量的。

RCS系列微机继电保护装置阻抗测量采用上述动作方程判别方向阻抗元件。

 

四、振荡与振荡闭锁

1.电力系统振荡对阻抗元件的影响

电力系统振荡时,一般可将所有机组分为两个等值机组,用两机等值系统分析其特性,其简化等值电路如图4-24所示,其中ZMZN分别为母线M、N侧等值阻抗;ZMN为MN 线路阻抗;ÉMÉN、分别为P、Q侧的等值电动势,夹角为δ;ZΣ为系统间等值总阻抗,ZΣ>=ZMZNZMN


图片


如要分析M侧阻抗元件测量阻抗的变化轨迹,只需将阻抗复平面的原点设在M点,使 ZMNRx轴的夹角等于线路阻抗角,这样RM轴和jXM轴便可确定,如图                 4-25所示。显然 P、M、N、Q为四定点,由 ZMZMNZN值确定相对位置。O为动点,OM、ON为 M、N点阻抗元件的测量阻抗,OM=ZmP侧电动势与Q侧电动势幅值之比为Ke时,可以证明,动点O的轨迹为圆或直线。当Ke=1时,Zm的变化轨迹为 PQ的中垂线(图中虚直线 OO');当Ke>1时,O点的轨迹为包含 Q点的一个圆,如图中mm 圆弧(整个圆未画出);当Ke<1时,O点的轨迹为包含P点的一个圆(图中虚线圆弧m'n',整个圆未画出)。轨迹线与PQ线段交点处对应δ=180°,轨迹线与PQ线段延长线的交点处对应δ=0°(360°)。对 M侧阻抗元件来说,若M侧为送电侧,正常运行时测量阻抗(负荷阻抗)在 O点。系统振荡时,O点随δ角的变化在轨迹线上移动,安装在系统各处的阻抗元件测量阻抗跟着发生变化。变化轨迹从m 变化到n(顺时针)或从 m'变化到n'(直线),或从m"变化到n'(逆时针)。需要指出,实际系统中,EMEN是接近相等的,即K。很接近1,所以图4-24中的轨迹圆很大,与直线轨迹很接近。

 

图片


不难看出,系统振荡时阻抗元件有误动的可能性,因此距离保护必须有躲振荡的能力。当保护的测量阻抗不会进入距离保护Ⅰ段的动作区时,距离保护Ⅰ段将不受振荡的影响。但由于距离保护Ⅱ段及距离保护Ⅲ段的整定阻抗一般较大,振荡时的测量阻抗比较容易进入其动作区,所以距离保护Ⅱ段及距离保护Ⅲ段的测量元件可能会动作。

总之,电力系统振荡时,阻抗元件是否误动、误动的时间长短与保护安装位置、保护动作范围、动作特性的形状和振荡周期长短等有关,安装位置离振荡中心越近、整定值越大,动作特性曲线在与整定阻抗垂直方向的动作区越大时,越容易受振荡的影响,振荡周期越长误动的时间越长。并非安装在系统中所有的阻抗元件在振荡时都会误动,因此要求距离保护具备振荡闭锁功能,使之具有通用性。

2.电力系统振荡与短路时电气量的差异

既然电力系统振荡时可能引起距离保护的误动作,就需要进一步分析比较电力系统振荡与短路时电气量的变化特征,找出其间的差异,用以构成振荡闭锁元件,实现振荡时闭锁距离保护。

1)振荡时,三相完全对称,没有负序分量和零序分量出现;而当短路时,总要长时(不对称短路过程中)或瞬间(在三相短路开始时)出现负序分量或零序分量。

2)振荡时,电气量呈现周期性的变化,其变化速度(dU/dt;dI/dt;dZ/dt 等)与系统功角的变化速度一致,比较慢,当两侧功角摆开至180°时,相当于在振荡中心发生三相短路;从短路前到短路后其值突然变化,速度很快,而短路后短路电流、各点的残余电压和测量阻抗在不计衰减时是不变的。

3)振荡时,电气量呈现周期性的变化,若阻抗测量元件误动作,则在一个振荡周期内动作和返回各一次;而短路时阻抗测量元件可能动作(区内短路),可能不动作(区外短路)。

距离保护的振荡闭锁措施,应能够满足以下的基本要求∶(1)系统发生全相或非全相振荡时,保护装置不应误动作跳闸。

2)系统在全相或非全相振荡过程中,被保护线路发生各种类型的不对称故障,保护装置应有选择性地动作跳闸,纵联保护仍应快速动作。

3)系统在全相振荡过程中再发生三相故障时,保护装置应可靠动作跳闸,并允许带短路延时。

3.距离保护的振荡闭锁

电力系统振荡时,距离保护的测量阻抗随δ角的变化而不断变化,当δ角变化到某个角度时,测量阻抗进入到阻抗元件的动作区,而当δ角继续变化到另一个角度时,测量阻抗又从动作区移出,测量元件返回。简单而可靠的办法是利用动作的延时实现振荡闭锁。对于按躲过最大负载整定的距离保护Ⅲ段阻抗元件,测量阻抗落入其动作区的时间小于一个振荡周期(1~1.5s),只要距离保护Ⅲ段动作的延时时间大于1~1.5s,系统振荡时保护Ⅲ段就不会误动作。因此,在距离保护装置中可用其延时躲过振荡的影响。

用延时躲振荡时,阻抗动作特性越小,用来躲振荡的延时也越小。在CSL系列保护中利用了这一特性。当保护启动后150ms 内距离工、Ⅱ段未动作则转人距离保护振荡闭锁逻辑,闭锁距离工段和Ⅱ段。而在振荡闭锁模块中增设了带延时0.5s的工段及带延时1s的Ⅱ段,通过带延时可靠地躲过振荡的影响。即在振荡闭锁期间由长延时的工段、Ⅱ段实现再故障的保护。


图片


微机继电保护中采用了比较完善的振荡闭锁功能,以下介绍两个典型的振荡闭锁逻辑。

1)振荡闭锁逻辑一。振荡闭锁逻辑之一如图4-26所示。它均开放保护。

其中γ元件为振荡过程中又发生不对称短路故障的判据Ucosφ元件为振荡过程中又发生三相短路的判据I1Q为躲过最大负载电流的正序过电流元件(系统振荡启动元件)△IΣ为带有浮动门槛的综合电流突变量元件(保护启动元件)SWI为振荡闭锁输出,SWI为“1”开放接地、相间距离I段和Ⅱ段,SWI为“0”闭锁接地、相间距离I段和Ⅱ段∶KG为控制字,KG为“1”振荡闭锁投入,KG为“0”振荡闭锁退出,即SWI一直为“1”,保护不经振荡闭锁控制。

1)在启动元件动作起始160ms以内的动作条件是启动元件开放瞬间,若按躲过最大负载整定的正序过电流元件不动作或动作时间不到10ms,则开放保护160ms。即△Iz元件在正常运行中突然发生故障时立即开放保护160ms。当电力系统振荡时,γ元件、Ucosq元件、△IΣ元件均不动作,只有正序过电流元件Ing动作,SWI为“0”,振荡闭锁不开放,将保护闭锁。

2)不对称故障开放元件。不对称故障,振荡闭锁回路可由对称分量元件γ开放,该元件的动作判据为

 

2|+|Ì0|≥γ|Ì1|

 

式中Ì1Ì2、Ì0、为保护安装处的正序、负序、零序电流γ为需要设定的系数,取值范围0.5~1,如取0.66。

正常运行或单纯系统振荡时,I0I2很小,满足不了上面的开放条件。只要是电力系统发生不对称短路故障,则γ元件处动作状态,同时△IΣ元件先于I元件动作,T2元件启动,于是SWI为“1”,振荡闭锁开放,只要短路故障存在,SWI的“1”不返回。

如果在振荡过程中再出现不对称故障,也总能满足该开放条件,该元件也能开放保护。

3)对称故障开放元件。故障时电压会突然下降,对称故障残压基本为正序电压,而振荡时,电压虽会下降,但是周期性的。为此,以振荡中心的电压U=Ucosg为判据设立对称故障开放元件。

系统振荡时,振荡中心的电压Ucos0.05UN左右,三相短路故障弧光电阻上压降的幅值也在0.05UN左右。振荡时只在δ=180°左右一段时间内电压才会降到5%附近。

识别振荡过程中三相短路故障的判据为

—0.03UN<UCOS<0.08UN

满足该式的时间达150ms,判定为三相短路故障,振荡闭锁开放。经过150ms延时可以有效地区分三相短路与振荡。

为使三相短路时可靠开放保护,再设后备开放判据为

—0.1UN<Ucos<0.25UN

满足该式的时间达500ms,振荡闭锁开放保护。其中UN为额定电压。

短路故障切除紧跟系统发生振荡时,因γ元件、Ucosφ元件返回(故障切除后返回),同时T2只开放160ms,故SWI为“0”,振荡闭锁不开放振荡过程中发生短路故障时,不对称短路故障γ元件动作,对称短路故障Ucosφ元件动作,所以SWI为“1”,振荡闭锁开放。RCS系列保护采用上述振荡闭锁逻辑。

需要指出,在δ=180°状态下,在振荡中心处附近发生短路故障时,故障分量电流甚小,

电流突变量不能启动,开放不了保护,即使在δ趋近360°的过程中,同样电流突变量不能启动。因此,不能借助电流突变量元件来开放振荡过程中的短路故障。

2)振荡闭锁逻辑二。振荡闭锁逻辑框图之二如图4-27所示。其中 2KIφ2KIφφⅡ段接地、Ⅱ段相间阻抗元件;△iφ为带有浮动门槛的相电流突变量元件;γ元件为发生不对称短路故障的判据;A为控制振荡闭锁投、退的输入信号,A为"1"振荡闭锁退出,A为"0"振荡闭锁投入;3I0为零序电流元件,该元件在零序电流大于整定值持续30ms 后才动作(相当于带延时);Zswi为静稳定破坏检测元件,任一相间测量阻抗在设定的全阻抗特性内持续30ms、并且振荡中心电压小于50%额定电压(此时δ角大于120°)时动作。SWI1、SWI2为振荡闭锁输出,SWI为"1"开放距离Ⅰ段、SWI2为"1"开放距离Ⅱ段。


 å›¾ç‰‡

 

与图4-26相比,具有几乎相同的振荡闭锁工作原理。△i。元件相当于图4-26中的ΔIΣ元件;3I0元件与Zswi元件相当于图4-26中的I1Q元件;|dZm/dt|检测振荡过程中对称短路故障,相当于图 4-26中的Ucosφ元件。所不同的是,图4-27中短时开放保护150ms,在图4-26中是160ms;此外,图4-27中γ元件、|dZm/dt|元件在静稳定破坏后才投入工作,为防止Ⅱ段保护区内短路故障短时开放时间元件T返回导致振荡闭锁关闭,增设了H4、Y组成的固定回路(自保持)。PSL系列保护采用该振荡闭锁逻辑。

 

五、二次回路断线闭锁

1.电压互感器二次回路断线

现代距离保护都采用电流构成的启动元件,这样当二次电压回路断线失电压时,虽然阻抗元件要发生误动作,但距离保护不会误动。可见,采用电流量作启动元件,可减轻对断线失电压闭锁的要求。然而,若不及时对断线失电压作处理,不闭锁保护,当发生区外短路故障时,启动元件启动,则必然引起距离保护的误动。为此设二次电压回路断线闭锁装置,当出现电压互感器二次回路断线时应经短延时(如60ms)闭锁距离保护,经较长延时(如1.25s)发TV断线信号。断线失电压判据如下。

1)启动元件未动作时,保护运行在正常运行程序中,未进入故障处理程序。因为一相或两相二次电压回路断线失电压时,均会出现零序电压,所以检测有否零序电压可判别是否断线失电压(正常运行程序中),判据为

ÙABC|>8V

式中ÙAÙBÙC为输入到保护装置上的三相电压。

该式满足时,判为二次电压回路断线失电压,闭锁距离保护,同时延时1.25s,发TV断线异常报警信号。

2)对于三相断线失电压,判据为

A|+|ÙB|+|ÙC|<1/2UφN

同时断路器处于合闸位置或任一相电流大于IsetIset称为无电流门槛,可取0.04I2N0.08I2NI2N是电流互感器二次额定电流)。式中的UφN是电压互感器二次额定相电压,等于100/根号3V。

三相电压相量和小于8V,正序电压小于33V时,若采用母线TV,则延时1.25s发TV 断线异常信号;采用线路TV,则当任一相电流元件同时动作,延时1.25s发TV断线异常信号。通过整定控制字来确定是采用母线 TV还是线路TV。三相电压正常后,经 10s延时TV断线信号复归。

3)当不采用开口三角形绕组电压平衡时,也可采用零序电流进行闭锁,逻辑框图如图4-28所示。零序电流闭锁的动作方程式为

 

图片

(3I0)>(3I0)set

(3I0)set = Krel (3I0)unb.max

式中∶(3I0unb.max,为正常运行时线路的最大不平衡电流,可取电流互感器二次额定电流的10%;K为可靠系数,可取1.5。

为使图中的TV断线失电压工作可靠,式(4-45a)的灵敏度要高于式(4-43)条件的灵敏度。

2.交流电流断线信号元件

当自产零序电流小于0.75 倍的外接零序电流或外接零序电流小于0.75倍的自产零序电流时,延时200ms,发TA断线异常信号。

有自产零序电流而无零序电压,则延时10s,发TA断线异常信号。

 

六、距离保护中的相继速动

距离保护中的相继速动包括不对称短路故障相继速动和平行双回线故障相继速动。

1.不对称短路故障相继速动

设在图4-29中线路PQ靠近Q侧的k点发生了不对称短路故障,Q侧距离Ⅰ段快速动作使QF2三相跳闸,P侧利用Q侧三相跳闸后电气量变化特点,加速距离Ⅱ段,从而跟随Q侧实现三相跳闸,构成了不对称短路故障的相继速动。

不对称短路故障距离保护相继速动逻辑框图如图4-29所示。


图片


可以看出,相继速动动作判据如下。

1)定值中"不对称相继速动"控制字投入。

2)本侧测量到故障在保护正方向上且在Ⅱ段保护区内。

3)故障前三相均有电流,而后一相或两相无负载电流。判别有负荷电流的判据为;最小相电流大于0.2I2(L2为电流互感器二次额定电流),或者最小相电流小于0.2I公、大于0.04I2且不是线路电容电流。判别无负载电流的判据为∶最小相电流小于0.04I2N或者最小相电流小于0.2IoN、大于0.04I且是电容电流。上述三个条件同时满足经短延时(30~100ms)后,加速本侧Ⅱ距离段动作,进行三相跳闸。

需要指出,这种不对称短路故障的相继速动在平行双回线路上同样适用;三相短路故障没有相继速动作用,因三相电流在对侧三相跳闸后不会减小。

2.平行双回线路中的相继速动

如图4-30所示为平行双回线路距离保护相继速动工作原理,设靠近 Q母线平行双回线路工中的k1点短路故障(包括三相短路故障),保护3中的Ⅲ段阳抗元件在QF2 三相跳闸后,由动作状态转为返回状态,利用这一特性可对保护1的距离Ⅱ段实行加速,构成平行双回线路的距离保护相继速动。

 

图片

 

平行双回线路距离保护相继速动逻辑框图如图4-31所示。由图可见,相继速动判据如下(以k1点短路故障说明)。

1)定值中(保护3)"双回线相继速动"控制字投入。这样,当k1点短路故障时,FXL(向邻线发出的闭锁信号)先存在而后消失。

 

图片

 

2)本线路(I线路的保护1)保护测量到故障在保护方向上且在Ⅱ段保护区内。

3)开始时收到FXL 闭锁信号而后收不到。

上述三个条件同时满足经短延时(20~30ms)后,加速本线距离Ⅱ段,进行三相跳闸。需要指出,图4-30中k2点短路故障时,保护3中的Ⅲ段阻抗元件与保护1 中的Ⅱ段阻抗元件均动作,QF5三相跳闸后,上述Ⅱ、Ⅲ段阻抗元件均返回,相继速动的动作时间(图中为30ms)只要躲过两者的返回时间差即可。此外,当保护动作平行双回线之一跳闸时,双回线相继速动应自动解除。

 

七、距离保护中的后加速

自动重合闸于故障线路或手动合闸于故障线路时,应加速保护进行快速跳闸;而重合于振荡线路时,保护不应发生误动作。

现代微机距离保护中,具有完善的振荡闭锁功能,因此重合于振荡线路时振荡闭锁不开放,保护不会发生误动作,因此距离Ⅱ段(或Ⅲ段)经振荡闭锁控制后实行瞬时后加速。当然,对于单电源线路(包括重合时另一侧电源已解列)以及振荡中心不在保护区内的线路或重合时两侧电源电动势夹角摆开不大,不能使距离Ⅱ段(或Ⅲ段)阻抗元件动作的双电源线路,Ⅱ段(或Ⅲ段)距离可不经振荡闭锁控制实行瞬时后加速。

对于手动合闸、自动重合闸于出口三相短路故障的情况,若电压互感器接在母线侧,则可按前述瞬时后加速快速切除故障。若电压互感器接在线路侧,阻抗元件一直处在三相无电压状态,当加速段采用带偏移特性的Ⅲ段阻抗元件时,同样可快速切除故障;或者投入一个带偏移特性的阻抗元件(包括全阻抗元件),或者将一个相间方向阻抗元件略带偏移,均可快速切除出口三相短路故障。对于手动重合、自动重合闸于出口三相短路故障的情况,投入相电流速断也是很有效的。

 

八、距离保护动作逻辑

高压线路保护一般包括三段式相间距离和接地距离保护,四段式零序电流保护,三相一次重合闸,距离、零序后加速保护,低频保护,TV断线闭锁保护等功能。一般情况下距离Ⅲ段、零序末段保护动作时要闭锁重合闸。三段式距离保护动作逻辑框图如图4-32所示。

 

图片

其中,Zφ为接地距离,Zφφ为相间距离,KG1.0为重合加速Ⅱ段投入,KG1.1为重合加速Ⅲ段投入,KG1.2为振荡闭锁功能投入,KG1.3为双回线加速投入,KG1.4为不对称加速投入,KG1.6为Ⅲ段动作永跳投入,KG1.12为接地距离投入。

虚线将图4-32分为三部分。从上至下,第一部分为振荡闭锁逻辑,见本节四的介绍。第二部分为相间距离和接地距离动作逻辑,通过与门 Y1、Y2、Y3、Y4实现振荡闭锁距离I、Ⅱ段,距离Ⅲ段不经振荡闭锁。第三部分为重合闸和手动合闸后加速逻辑。重合闸通过与门Y6加速未经振荡闭锁的Ⅱ段(H2)、Ⅲ段;手动合闸通过与门Y5加速未经振荡闭锁的相间Ⅱ、Ⅲ段(H4);不对称和双回线加速经与门 Y7、Y8加速经振荡闭锁的Ⅱ段(H3)。