变压器纵差动保护相位的校正

中级(河南用户自传) • 2023-07-26 • 10+ 浏览


变压器纵差动保护相位的校正

 

变压器纵差动保护用于反应变压器绕组的相间短路故障、绕组的匝间短路故障、中性点接地侧绕组的接地故障及引出线的相间短路故障、中性点接地侧引出线的接地故障。目前国内生产及应用的变压器(主变压器、厂高变压器、发变组、高压启备变压器)微机型差动保护,主要由分相差动元件和涌流判别元件两部分构成。此外,用于大型变压器的差动保护,还有5次谐波制动元件,以防止变压器过励磁时差动保护误动。

在变压器内部严重故障时,为防止由于电流互感器饱和、电流波形畸变而致使差动元件拒动或延缓动作,还设置有差动速断元件。


一、纵差动保护的基本原理

差动保护的基本原理源自基尔霍夫电流定律,把变压器、发电机或其他被保护电力设备看成是一个节点,如果流入节点的电流等于流出节点的电流,则节点无泄漏,这时说明被保护设备无故障或外部故障。如果流入节点的电流不等于流出节点的电流,则节点中存在其他电流通路,说明被保护设备发生了故障,用输入电流与输出电流的差作为动作量的保护就称为差动保护。

如图6-4所示为变压器纵差动保护单相原理接线,其中变压器T两侧电流Ì1Ì2流入变压器为其电流正方向。当变压器正常运行或外部短路故障时,必有Ì12=0,若电流互感器TA1、TA2变比合理选择,则在理想状态下有Id=|Ì'1+Ì'2|=0(实际是不平衡电流),差动元件KD不动作,此时Ì1Ì2反相。当变压器发生短路故障时,必有Ì12=Ìk(短路电流),于是Id流过相应短路电流,KD动作,此时Ì1Ì2同相位(假设变压器两侧均有电源),将变压器从电网中切除。

 

图片

 

可以看出,纵差动保护的保护区是TA1、TA2之间的电气部分。为使纵差动保护发挥应有性能,在接线上应注意如下几点。

1)由于变压器YNd接线的关系,变压器两侧电流间存在相位移动,为保证正常运行或外部短路故障时Ì1、与Ì2有反相关系,所以必须进行相位校正。

2)即使满足了外部短路故障时Ì1Ì2的反相关系,注意到变压器两侧TA变比的不同,为保证外部短路故障时差动元件电流尽量小,|Ì'1|应与|Ì'2|相等,为此应进行幅值校正。

3)YN侧保护区外接地故障时,如图6-4中k点接地,零序电流3i。仅在变压器一侧流通,流过电流互感器TA1,为保证纵差动保护不动作,Ì'1电流中应扣除相应的零序电流分量。

因此从理论上说,正常运行时流入变压器的电流等于流出变压器的电流,但是变压器各侧的额定电压不同,接线方式不同,各侧电流互感器变比不同,各侧电流互感器的特性不同产生的误差,以及有载调压产生的变比变化等使变压器差动考虑的因素较多。例如∶实际中微机差动保护装置无法对变压器铁芯饱和等进行识别和自动补偿。变压器的各侧绕组有一个公共铁芯,这样被保护对象包含n条电路和一条公共磁路,公共磁路需要励磁电流,励磁电流是无法接人微机差动保护装置的,它成为变压器差动保护的不平衡电流,是无法进行识别和自动补偿的。

微机差动保护装置在软件设计上充分考虑了上述因素,几平所有微机差动保护装置的TA接线都基本相同,各侧TA都按星形接法接入到微机差动保护装置,TA的匹配和变压器接线方式引起的各侧电流之间的相位关系全部由微机差动保护装置自动进行处理。

 

二、纵差动保护相位的校正

如果双绕组变压器常采用Y,d11接线方式,因此,变压器两侧电流的相位差为30°。为保证在正常运行或外部短路故障时动作电流计算式中的高压侧电流Ì'1与低压侧电流Ì'2有反相关系,必须进行相位校正。对于Y,y,d11及 Y,dl1,dl1接线式的三绕组变压器,也应通过相位校正的方法保证星形侧与三角形侧电流有反相关系。对于微机型纵差动保护,一种方法是按常规纵差动保护接线,通过电流互感器二次接线进行相位校正,称为"外转角"方式;另一种方法是变压器各侧电流互感器二次接线同为星形接法,利用微机继电保护软件计算的灵活性,直接由软件进行相位校正,称为"内转角"方式。内转角的计算方法又可分为星形侧向三角形侧(称 Y→△)校正的算法及三角形侧向星形侧(称△→Y)校正的算法两种。

1.电流互感器二次接线进行相位校正(外转角)

相位校正的具体方法是变压器星形侧的电流互感器二次绕组首尾相接成三角形,将变压器三角形侧的电流互感器二次绕组接成星形,如图6-5所示。

采用相位补偿后,变压器星形侧电流互感器二次回路差动臂中的电流ÌA2ÌB2ÌC2,刚好与三角形侧的电流互感器二次回路中的电流Ìa2Ìb2Ìc2同相位,如图6-6所示。

 

图片


2.用保护内部算法进行相位校正(内转角)

当变压器各侧电流互感器二次均采用星形接线时,可简化, TA二次接线,增加了电流回路的可靠性,互感器二次接线如图6-7所示。当变压器为Y,dl1连接时,如图6-8(a)所示为TA一次侧的电流相量图,为消除各侧TA二次电流之间的 30°角度差,必须由保护软件通过算法进行调整。

 

图片


1)星形侧向三角形侧(称Y→△)校正的算法。大部分保护装置采用星形侧向三角形侧(称Y→△变化)校正相位的方法,其校正方法如下。


 

图片

图片


式中∶ÌA2ÌB2ÌC2为星形侧TA二次电流;Ì'A2Ì'B2Ì'C2分别为星形侧校正后的各相电流;Ìa2Ìb2Ìc2为三角形侧TA二次电流;Ì'a2Ì'b2Ì'c2分别为三角形侧校正后的各相电流。

经过软件校正后,差动回路两侧电流之间的相位一致,如图6-8(b)所示。同理,对于三绕组变压器,若采用Y,y,dl1接线方式,星形侧的相位校正方法都是相同的。

另外,采用Y侧进行相位校正的方法,当Y侧为中性点接地运行发生接地短路故障时,差动回路不反应零序分量电流,保护对接地短路故障的灵敏度将受到影响。

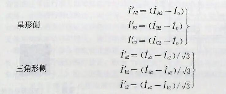
2)三角形侧向星形侧(称△→Y)校正的算法。保护装置采用三角形侧向星形侧变化(称△→Y)调整差流平衡时,其校正方法如下。

 

图片


式中∶ÌA2ÌB2ÌC2为星形侧TA二次电流;Ì'A2Ì'B2Ì'C2分别为星形侧校正后的各相电流;Ìa2Ìb2Ìc2分别为三角形侧TA二次电流;Ì'a2Ì'b2Ì'c2分别为三角形侧校正后的各相电流;Ì0为星形侧零序二次电流。

经过软件校正后,差动回路两侧电流之间的相位一致,如图6-8(c)所示。同理,对于三绕组变压器,若采用Y,y,d11接线方式,星形侧的软件算法都是相同的,三角形侧同样进行相位校正。

需要说明,在△侧进行相位校正的方法,当变压器高压侧保护区内和保护区外发生单相接地短路时,流过差动回路Y侧电流互感器的零序分量电流与变压器中性点零序电流互感器的零序分量电流的方向正好相反,如图6-9所示。设变压器外部发生A相单相接地短路故障时,流过变压器高压侧A相的短路电流ÌAKAK1+ÌAK2ÌAK0,变压器中性点的电流Ì0A相零序电流ÌAK0相同,如图6-9(a)所示。两者相互抵消,使加入A相差动元件的电流为ÌAKAK1+ÌAK2由于变压器的△侧不存在零序电流分量,故在外部发生单相接地短路时不会产生不平衡电流。


图片


若在变压器的内部发生单相接地短路,此时变压器Y侧 A相零序电流ÌAK0改变方向,与变压器中性点的电流Ì0方向相反,如图6-9(b)所示。加入A相差动元件的电流为ÌAK0和Ì0两者的叠加。也就是说,在变压器内部发生单相接地短路时,加入差动元件的短路电流能反映内部接地短路故障时的零序电流分量。

可见,采用不同方式的相位补偿,将影响在变压器 Y 侧发生单相接地短路时差动保护的灵敏度,引入变压器中性点零序电流分量后,在变压器外部发生单相接地短路故障时不会由于零序分量的存在而产生不平衡电流,而在变压器内部发生单相接地短路时又可以反映零序分量电流,从而提高了差动保护对单相接地短路的灵敏度。

 

三、纵差动保护幅值的校正

通过相位校正,满足了正常运行和外部短路时电流的反相关系。但由于变压器各侧的额定电压、接线方式及差动TA 变比都不相同。因此在正常运行时,流入差动保护的各侧电流也不相同。为保证外部故障时差动保护不误动,微机继电保护应在相位校正的基础上进行幅值校正(幅值校正通常称为电流平衡调整),将各侧大小不同的电流折算成大小相等、方向相反的等值电流,使得在正常运行时或外部故障时,差动电流(称为不平衡电流)尽可能小。

将各侧不同的电流值折算成作用相同的电流,相当于将某一侧或某两侧的电流乘以修正系数。该系数称为平衡系数。

设有三绕组变压器,其接线为Y,y,d11,变压器各侧TA均为星形接线。则各侧流入差动保护某相的一次额定电流计算公式为


图片

 

式中∶SN为变压器额定容量;I1N为变压器计算侧一次额定计算电流;UNφφ为变压器计算侧的颜定线电压。

变压器各侧电流互感器二次额定计算电流为

 

图片

 

式中∶I2N为变压器计算侧二次额定计算电流;nTA为变压器计算侧电流互感器变比。

注意,当式(6-1)和式(6-4)计及根号3系数后,此处不再计及。否则在计算电流I2N时要乘以系数根号3。

设变压器各侧的额定电压、额定二次计算电流及差动 TA的变比分别为UN.hI2NhnhUN.mI2N.mnmUN.1I2N.1、n1,一般以高压侧(电源侧)I2Nh电流为基准,将其他两侧的电流ImI1折算到高压侧的平衡系数分别为Kb.mKb.1,则

 

图片

 

注意,当式(6-1)没有计及/3系数时,和外部TA三角形接线类似,使星形侧差动电范增大了、3倍,则变压器三角形侧K。计算式中要乘以系数根号3。

变压器纵差动保护各侧电流平衡系数Kb.mKb.1求出后,电流平衡调整自然实现了,即只需将各侧相电流与其对应的平衡系数相乘即可。应当指出,由于微机继电保护电流平衡系数取值是二进制方式,不是连续的,因此不可能使纵差动保护达到完全平衡,但引起的不平衡电流极小,完全可以不计。引入平衡系数之后差动电流的计算方法为

Id=|Ìh+Kb.mÌm+Kb.1Ì1|

应当指出,变压器微机继电保护各侧电流互感器采用星形接线,不仅可明确区分励磁涌流和短路故障,有利于加快保护的动作速度;而且有利于电流互感器二次回路断线的判别。但是,对于中性点直接接地的自耦变压器,变压器外部接地时,高压侧和中压侧的零序电流可以相互流通,为防止纵差动保护误动作,两侧的电流互感器必须接成三角形。

由于变压器绕组开焊或断路器一相偷跳,形成的正序、负序电流对变压器而言是穿越性的,相当于保护区外短路故障,因此纵差动保护不反应。