电阻的连接方式

电工作业 • 2023-07-13 • 10+ 浏览


电阻的连接方式


1)电阻的串联

如果电路中有两个或更多个电阻一个接一个地顺序相连,并且在这些电阻中通过同一电流,则这种连接方式就称为电阻的串联。图1-8 是两个电阻串联的电路。


图片


由于电流只有一条通路,所以电路的总电阻 R 必然等于各串联电阻之和,即 

R=R+R2

称为电阻串联电路的等效电阻。

电流I流过电阻R1 R2时都要产生电压降,分别用U1U2表示,即

U1=IR

U2=IR2

电路的外加电压 U,等于各串联电阻上的电压降之和,即

U=U1+U2=IR1+IR2=I(R1+R2)=IR

显然,电阻串联电路可以看作是一个分压电路,两个串联电阻上的电压分别为

U1=IR1

 U2=IR2

上例式子常称为分压公式,它确定了电阻串联电路外加电压 U在各个电阻上的分配原则。显然,每个电阻上的电压大小,决定于该电阻在总电阻中所占的比例,这个比值称为分压比。

2)电阻的并联

如果电路中有两个或更多个电阻连接在两个公共的节点之间,则这样的连接方式就称为电阻的并联。各个并联中的电阻上承受着同一电压。图 1-9 是两个电阻并联的电路。


图片


根据欧姆定律,可以分别计算出每个电阻上的电流


图片


电路未分支部分的电流,等于各并联支路中电流的总和,即

I=I1+I2

多个电阻并联以后的等效电阻也可以用一个等效电阻R来代替。


图片


上式表明,多个电阻并联以后的等效电阻的倒数,等于各个支路电阻的倒数之和。由此式可以方便地计算出电阻并联电路的等效电阻。

在实际应用中,经常需要计算两个电阻并联的等效电阻,这时可利用下列简捷公式


图片


3)电阻的混联

一个电路中的电阻既有串联又有并联时,称为电阻的混联,如图1-10所示。


图片


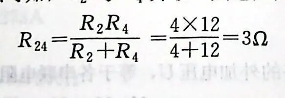
对于电阻混联电路,总电阻可以这样求先求并联电阻的总电阻,然后再求串联电阻与并联电阻的总电阻之和。在图1-10所示电路中,电阻 R1=R2=3ΩR2=4ΩR4=12Ω。求 AB之间的等效电阻RAB


由图可知,R2R4并联,其电阻为


图片

图片