微机继电保护软件系统介绍与算法

中级(河南用户自传) • 2023-07-27 • 10+ 浏览


微机继电保护软件系统介绍与算法

 

一、微机继电保护的程序结构

微机继电保护软件是微机保护装置的主要组成部分,它涉及继电保护原理、算法、数字滤波以及计算机程序结构。典型的微机继电保护程序结构框图如图2-1所示。

 

图片

 

主程序按固定的采样周期接受采样中断进入采样程序,在采样程序中进行模拟量采集与滤波、开关量的采集、装置硬件自检、交流电流断线和启动判据的计算,根据是否满足启动条件而进入正常运行程序或故障计算程序。硬件自检内容包括RAM、EEP-ROM、跳闸出口晶体管(三极管)等。

正常运行程序中进行采样值自动零漂调整及运行状态检查。运行状态检查包括交流电压断线、检查开关位置状态、重合闸充电等,不正常时发报警信号。报警信号分两种,一种是运行异常报警信号,这时不闭锁保护装置,提醒运行人员进行相应处理;另一种为闭锁报警信号,报警的同时将保护装置闭锁,保护退出。故障计算程序中进行各种保护的算法计算、跳闸逻辑判断以及事件报告、故障报告及波形的整理。

另外,微机继电保护装置软件系统除实现各种继电保护功能以外,还具有其他功能,这些功能包括以下几个方面。

(1)测量功能。测量功能包括相电流、零序电流、线电压、相电压、零序电压、频率、有功和无功测量以及电能和功率因数测量。

(2)控制功能。控制功能包括断路器和隔离开关的"就地"和"远方"控制,一次设备的分合控制,可调节设备的状态控制,自动重合闸功能等。

(3)状态监测。状态监测包括操作计数、气体压力监测、断路器跳合闸、电气老化监测、断路器运行时间记录、辅助电压监视等。

(4)功能模块。功能模块具有独立的输入、输出接口。在参数化时,采用图形化方式进行,简单有效;具有强大的PLC功能;可简化接线要求,是高效的编程工具。

(5)事件记录。事件记录包括独立的事件生成、用户定义事件、具有事件过滤功能、事件分辨率为毫秒级,可以记录最近多个事件。

(6)故障录波。故障录波采集故障前、故障时刻及跳闸后相关的电流、电压,相关的开关量信号、事件等信息,供继电保护装置事故分析。

(7)通信功能。前面板串行通信口(维护口)用于定值整定及参数设置,背板通信口用护装置的典型人机对话菜单。这些菜单包括如下信息∶

(1)数据分析。数据分析包括A/D测试结果分析、采样值分析。实时数据包括遥测,遥信、电能、保护状态等。

(2)参数设置。参数设置包括各种系统参数及保护装置本身需设置的参数。

(3)系统信息。系统信息版本号、CRC码、版本时间、开关次数、开关遮断容量。

(4)定值操作。定值操作包括定值查询、定值下传、确认修改、取消修改、定值投入、定值保存命令项。显示区显示定值区号并按列显示定值序号、定值名称、名称说明、定值,定值单位及定值范围。

(5)保护配置。保护配置控制各种保护功能的投退。

(6)故障分析。故障分析报告查询、扰动数据。

(7)各种SOE信息。控制操作包括传动操作和遥控操作。传动操作,根据传动序号、传动名称、传动时间,选中要传动的项目,即执行该项传动操作;遥控操作,后台通过通信通道实施的控制操作。

 

二、微机继电保护算法概述

传统的继电保护是直接或经过电压形成回路把被测信号引入保护继电器,继电器按照电磁感应、比幅、比相等原理作出动作与否的判断。而微机继电保护是把经过数据采集系统量化的数字信号经过数字滤波处理后,通过数学运算、逻辑运算,并进行分析、判断,以决定是否发出跳闸命令或信号,以实现各种继电保护功能。这种对数据进行处理、分析、判断以实现保护功能的方法称为微机继电保护算法。

目前,在微机继电保护装置中采用的算法基本上可分为两类。一类是直接由采样值经过某种运算,求出被测信号的实际值再与定值比较。例如,在距离保护装置中,利用故障后电压和电流的采样值直接求出测量阻抗或求出故障后保护安装处到故障点的R、X,然后与定值进行比较。在电流、电压保护中,则直接求出电压、电流的有效值,与保护的整定值比较。另一类算法是依据继电器的动作方程,将采样值代入动作方程,转换为运算式的判断。同样对于距离保护,这种算法不需要求出测量阻抗,而只是用故障后的采样值代入动作方程进行判断。

分析和评价各种不同的算法优劣的标准是精度和速度。速度又包括两个方面∶一是算法所要求的采样点数(或称数据窗长度);二是算法的运算工作量。所谓算法的计算精度是指用离散的采样点计算出的结果与信号的实际值的逼近程度。如果精度低,则说明计算结果的准确度差,这将直接影响保护的正确判断。算法所用的数据窗直接影响保护的动作速度。因为电力系统继电保护应在故障后迅速作出动作与否的判断,而要作出正确的判断必须用故障后的数据计算。一个算法采用故障后的多少采样点才能计算出正确的结果,这就是算法的数据窗。例如,全周傅氏算法需要的数据窗为一个周期(20ms),半周傅氏算法需要的数据窗为半个周期(10ms)。显然,半周傅氏算法的数据窗短,保护的动作速度快。但是,半周傅氏算法不能滤除偶次谐波和恒稳直流分量,在信号中存在非周期分量和偶次谐波的情况下,其精度低于全周傅氏算法。而全周傅氏算法的数据窗要长,保护的动作速度慢。显然精度和数据窗之间存在矛盾。一般地,算法用的数据窗越长,计算精度越高,而保护动作相对较慢,反之,计算精度越低,但保护的动作速度相对较快。

继电保护特别是快速动作的保护对计算速度的要求较高。由于反映工频电气量的保护设有滤波环节,前置模拟滤波系统中也有延时,各种保护的算法都需要时间,因此在其他条件相同的情况下,尽量提高算法的计算速度,缩短响应时间,可以提高保护的动作速度。在满足精度的条件下,在算法中通常采用缩短数据窗、简化算法以减小计算工作量,或采用兼有多种功能(例如滤波功能)的算法以节省时间等措施来缩短响应时间,提高速度。

计算精度是保护测量元件的一个重要指标,高精度与快速动作之间存在着矛盾,一般要根据实际需要进行协调以得到最合理的结果。在选用准确的数学模型及合理的数据窗长度的前提下,计算精度与有限字长有关,其误差表现为量化误差和舍入误差两个方面。为了减小量化误差,在保护中通常采用的A/D芯片至少是12位的,而减小舍人误差则要增加字长。

在一套具体的微机继电保护装置中,采用何种算法,应视保护的原理以及对计算精度和动作快速性的要求合理选择。例如,在微机距离保护装置中,对距离保护的第工段,针对近处故障强调快速性,此时可采用短数据窗算法,计算精度可适当低一些,而靠近保护范围末端故障,则应强调准确性,要求计算精度高,动作速度可稍慢一些。

微机继电保护的算法往往和数字滤波器联系在一起。整个保护系统的模拟滤波、数字滤波器完善的程度不同,所选用的算法也因之而异。有些算法本身具有滤波功能,有些算法必须配一定的数字滤波算法一起工作。数字滤波器具有滤波精度高、可靠性高、灵活性高,以及便于时分复用等优点,在微机继电保护装置中得到广泛的应用。

继电保护的种类很多,按保护对象分有元件保护、线路保护等;按保护原理分有差动保护,距离保护和电压、电流保护等。然而,不管哪一类保护的算法,其核心问题归根结底是算出可表征被保护对象运行特点的物理量,如电压、电流等的有效值和相位以及阻抗等,或者算出它们的序分量、基波分量、某次谐波分量的大小和相位等。有了这些基本电气量的计算值,就可以很容易地构成各种不同原理的保护。可以说,只要找出任何能够区分正常与短路的特征量,微机继电保护就可以实现。以下具体介绍常用的一些微机继电保护算法。

 

三、正弦函数的半周积分算法

假设输入信号均是纯正弦信号,既不包括非周期分量,也不含高频信号。这样利用正弦函数的一些特性,从采样值中计算出电压、电流的幅值、相位以及功率和测量阻抗值。正弦函数算法包括最大值算法、半周积分算法、一阶导数算法、二阶导数算法、采样值积算法(两采样值积算法、三采样值积算法)等。这些算法在微机继电保护发展初期大量采用,其特点是计算量小、数据窗短、精度不是很高,且信号必须为正弦信号。这里只介绍应用较广的半周积分算法。

对于正弦函数模型的算法来说,无论采用何种计算形式,都是利用正弦函数的某些性质进行参数计算。为了保证故障时参数计算的正确性,必须配备完善的数字滤波器,即数字滤波算法与参数计算相结合。为实现正弦函数模型算法,先将输入电流、电压经50Hz 带通滤波器使它们变为正弦函数。但需要十分注意的是,在滤波器设计时要降低高频信号分量。

半周积分通过对正弦函数在半个工频周期内进行积分运算,由积分值来确定有关参数。由于计算量小、速度快,在中低压保护中应用较多。

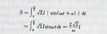
该算法的依据是一个正弦信号在任意半周期内,其绝对值积分(求面积)为一常数S,即

 

图片

 

积分值S与积分起始点的初相角α无关,因为画有断面线的两块面积显然是相等的,如图2-4所示。式(2-1)的积分可以用梯形法近似求出,如图2-5所示。则

 

图片


式中S为半周内k个采样值的总和ik为第k次采样值;N为工频每周的采样点数;i0为k=0 时的采样值;in/2为k=N/2时的采样值Ts为采样间隔。

 

图片

图片

 

只要采样率足够高,用梯形法近似计算积分的误差可以做到很小。

因为S正比于信号的有效值,求出S后即可计算出正弦波的有效值

 

图片


设采样频率为600Hz,在半周内分为6块面积。正弦信号在任意半周内的面积S可由这6块面积相加求出。注意,再说焊机的微机继电保护中,由于采样时刻的随机习惯面对每个采样值应先取绝对值。对于一个纯正弦信号,取绝对值后必有|i0|=|i6|,即|i0|=|in/2|。

叠加在基频成分上的幅度不大的高频分量,在半个周期积分中其对称的正负部分可以互相抵消,剩余的未被抵消的部分占的比重就减小了,但它不能抑制直流分量。另外,由于这种算法运算量极小,可以用非常简单的硬件实现。因此对于一些要求不高的电流、电压保护可以采用这种算法,必要时可另配一个简单的差分滤波器来抑制电流中的非周期分量。

该算法的数据窗为半个周期。误差由两方面产生,一是由于用梯形面积代替正弦函数面积产生的误差。用绝对值求和来代替绝对值积分必然会带来误差,但只要采样频率足够高,T,足够小,误差就可以做到足够小。二是由于采样时刻与信号过零时刻的不同相角产生的误差。第一个采样数据对应的正弦量的相角θ不同,误差也不同,即用梯形法计算积分时起始点对误差有一定影响。

设采样频率为600Hz,a=0°时,一个有效值为1的信号按式(2-2)求出的有效值为0.9764,相对误差为2.36%;当α=15°时,按式(2-2)求出的有效值为1.01,相对误差为1%。当采样频率为1000Hz,α=0时,一个有效值为1的信号按式(2-2)求出的有效值为0.991l,相对误差为0.9%;a=15°时。有效值为1.003,相对误差为0.3%。可见同样是采样频率越高,误差越小。

半周积分法的特点如下∶

(1)数据窗长度为半个周期,对50Hz的工频正弦量而言,延时为10ms。

(2)由于进行的是积分运算,故具有滤波功能,对高频分量有抑制作用,但不能抑制直流分量。

(3)本算法的精度与采样频率有关,采样频率越高,其精度越高,误差越小,误差还与a有关。

(4)由于只有加法运算,计算工作量很小。

 

四、周期函数的傅里叶级数算法

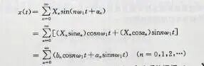
数学中,一个周期函数满足狄里赫利条件,则可以将这个周期函数分解为一个级数。最为常用的级数是傅里叶级数。它假定被采样信号是一个周期性时间函数,除基波外还含有不衰减的直流分量和各整数次谐波。设该周期信号为x(t),它可表示为直流分量、基波分量和各整倍数的谐波分量之和。

l.周期函数的傅里叶级数及各次谐波的关系

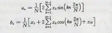
设有一个周期函数,其周期为T,且该周期函数满足狄里赫利条件,则该函数可表示为

 

图片


式中∶an、bn分别为直流、基波和各次谐波的正弦项和余弦项的振幅,bn= Xnsinan,an=Xncosan

由于各次谐波的相位可能是任意的,所以,把它们分解成有任意振幅的正弦项和余弦项之和。a1、b1分别为基波分量的正、余弦项的振幅,b0为直流分量的值。

根据傅里叶级数的原理,可以求出 a1、b1分别为

 

图片

 

由积分过程可以知道,基波分量正弦、余弦项的振幅a1和b1 已经消除了直流分量和整次谐波分量的影响。于是x(t)中的基波分量为

 

图片

 

式中∶X1为基波分量的有效值;α1为t=0时基波分量的相角。将sin(ω1t+α1)用和角公式展开,不难得到X1同a1、b1之间的关系为

 

图片

 

对于其他各次谐波分量的求法与求基波分量的方法完全类似。由此可见,用傅里叶算法求取某次谐波分量的有效值和相角时,关键是求出该次谐波分量的实部和虚部系数。

以上是在连续域中应用傅里叶方法求取某次谐波分量的方法。那么,在微机继电保护中,我们得到的是经过采样、A/D转换后的离散数字信号,这就要应用离散傅里叶变换的方法。傅里叶算法(简称傅氏算法)可用于求出各谐波分量的幅值和相角,所以它在微机继电保护中作为计算信号幅值的算法被广泛采用。

2.全周期傅氏算法

全周期傅氏算法是用一个连续周期的采样值求出信号幅值的方法。在微机继电保护中,输入的信号是经过数据采集系统转换为离散的数字信号的序列,用xk来表示。式(2-4)和式(2-5)的积分可以用梯形法求得

 

图片


式中∶N为基波信号一周期采样点数;x0、xn为第k采样值;xo、zN为分别为k=0和k=N时的采样值。

求出基波分量的实部和虚部a1、b1,即可求出信号的幅值。实际上,傅氏算法也是一种滤波方法。分析可知,全周期傅氏算法可有效滤除恒定直流分量和各整次谐波分量。

在微机继电保护装置中,傅里叶算法是一个被广泛应用的算法,这是因为傅里叶算法用于提取基波分量或提取某次谐波分量(例如 2次谐波、3次谐波)十分方便,当采样频率为600Hz 时,傅里叶算法的计算非常简单,用汇编语言编程也十分方便。

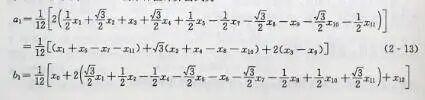
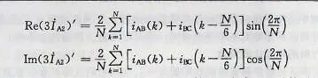
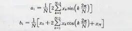
当取ω1Ts=30°(N=12)时,基波正弦和余弦的系数见表2-1所示。于是,可以得到式(2-11)和式(2-12)的采样值计算公式为

 

图片

图片


同时利用离散傅氏算法还可求得任意n次谐波的振幅和相位,适用于谐波分析。将式(2-11)和式(2-12)改为

 

图片

 

式中n为谐波次数。

an和bn已经消除了恒定直流分量、基波和n次以外的整次谐波分量的影响。另外,在分别求得A、B、C三相基波的实部和虚部参数后,还可以求得基波的对称分量,从而实现对称分量滤波器的功能。求基波对称分量的傅里叶级数计算式为

 

图片

 

式中FA、FA、FA分别为A相正序、负序和零序的对称分量Xn、X、X、Xc分别为A、B、C三相基波分量a=1<120°。

傅氏算法原理简单、计算精度高。应当说明的是,为了求出正确的故障参数,必须用故障后的采样值。因此,全周期傅氏算法所需的数据窗为一个周期。即必须在故障后20ms数据齐全,方可采用全周期傅氏算法。为提高微机继电保护的动作速度,还可以采用半周傅氏算法。

3.半周期傅氏算法

半周期傅氏算法仅用半周期的数据计算信号的幅值和相角。针对基波分量,具体计算方法为

 

图片


半周期傅氏算法在故障后10ms即可进行计算,因而使保护的动作速度减少了半个周期。但是半周期傅氏算法不能滤除恒定直流分量和偶次谐波分量,而故障后的信号中往往含有衰减的直流分量,因此,半周期傅氏算法的计算误差较大。为改善计算精度,而又不增加计算的复杂程度,可在应用半周期傅氏算法之前,先做一次差分运算。这就是一阶差分后半周期半周傅氏算法。

从滤波效果来看,全周期傅氏算法不仅能完全滤除各次谐波分量和稳定的直流分量,而且能较好地滤除线路分布电容弓I起的高频分量,对随机干扰信号的反应也较小,而对畸变波形中的基频分量可平稳和精确地作出响应。图2-6所示是釆样频率为600Hz时的全周期傅氏算法和半周期傅氏算法的幅频特性。半周期傅氏算法的滤波效果不如全周期傅氏算法,它不能滤去直流分量和偶次谐波,适合于只含基波及奇次谐波的情况。两者都对按指数衰减的非周期分量呈现了很宽的连续频谱,因此傅氏算法在衰减的非周期分量的影响下,计算误差较大。


图片


从精度来看,由于半周期傅氏算法的数据窗只有半周,其精度要比全周期傅氏算法差。当故障发生半周后,半周期算法即可计算出真值,但精度差;全周期傅氏算法在故障发生一周后才能计算出真值,精度较半波好。在保护装置中可采用变动数据窗的方法来协调响应速度和精度的关系.其做法是在启动元件启动之后,先调用半周期傅氏算法程序。由于计算误差较大,为防止保护误动可将保护范围减小10%°若故障不在该保护范围内时,调用全周期傅氏算法程序,这时保护范围复原。这样,当故障在保护范围的0%〜90%以内时,用半周期傅氏算法计算很快就趋于真值,精度虽然不高,但足以正确判断是区内故障;当故障在保护范围的90%以外时,仍以全周期傅氏算法的计算结果为准,保证精度。

4.线路阻抗的傅氏算法

傅氏算法可以完全滤去整数次谐波,对非整数次谐波也有较好的滤波效果。因此,电压和电流采样值七、%经傅氏算法后,可认为取出了工频分量的实部和虚部。令


图片

图片


当要求保护动作迅速时,可采用半周期傅氏算法。当然滤波效果要差一些,精确度也不如全周期傅氏算法。考虑到傅氏算法对非周期分量的抑制能力不理想,为提高傅氏算法对阻抗测量的精确度,可采用差分算法抑制,而且方法简单,效果也好。此外,为防止频率偏差带来的计算误差,可采取采样频率自动跟踪措施。


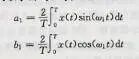
四、输电线路R-L模型算法

R-L模型算法是以输电线路的简化模型为基础的,该算法仅能计算阻抗,用于距离保护。由于忽略了输电线路分布电容的作用,由此带来一定的计算误差,特别是对于高频分量,分布电容的容抗较小,误差更大。

算法是根据简化的 R-L 模型建立微分方程进而求解。当忽略线路的分布电容后,从故障点到保护安装处的线路段可用一个电阻和电感串联电路表示,如图2-7所示。在短路时,母线电压u和流过保护的电流i与线路的正序电阻R1和电感L,之间的微分方程可表示为


图片

图片


式中∶u(t)、i(t)为t时刻保护安装处的电压和电流(下面为了简便起见,省略掉时间符号t);R1、L1为故障点至保护安装处线路段的正序电阻和电感,是待求的未知数。

对相间短路故障的保护采用相间电压和对应相电流差(如uab和ia一ib);对接地短路故障的保护采用相电压和带零序电流补偿的相电流(如uab和ia十Kx×3i0)。


图片


式中∶Kt、Kx分别为电阻及电感分量的零序补偿系数,Kt =r0-r1/3r1,Kx=L0-L1/3l1,其中r0r1L0、L1分别为输电线路每千米的零序、正序电阻和电感。

显然,仅有一个方程是无法求出两个未知数的。因此,必须建立两个相互独立的方程,联立求解,即可求得R1、L1

针对两个不同时刻t1和t2分别测量u、i和di/dt就可建立两个独立方程,即

u1=R1i1+L1D1

u2=R1i2+L1D2


式中∶D表示电流的微分di(t)/dt,下标1和2分别表示测量时刻t1、t2

联立解以上两式,可求得两个未知数R1、L1,即


图片

图片


这样就可以用求解二元一次方程组的方法求出 R1、L1值,故也称为解微分方程算法该算法不需滤除非周期分量,算法的数据窗较短,不受频率变化的影响,可很好地克服过淇电阻的影响,因而在输电线路距离保护中得到广泛应用。但需要配合数字滤波器,抑制俱频、高频分量。

在微机继电保护中如何计算R1、L1值,有两个问题,其一是t1、t2两个时刻如何选择其二是电流的微分如何求出。

1.短数据窗法

短数据窗法计算电阻、电感的算法,就是选择t1、t2两个时刻相隔一个采样间隔,算法所用的数据经过数字滤波器的延时相对较短。为了求出t1、t2时刻电流的微分,可用差分代替求导数。为此,应选择连续三个时刻的采样值(注意,这三个值是经过数字滤波器后的连续三点),如图2-8所示。


图片


设un、un+1、un+2分别为tn、tn+1、tn+2时刻电压信号的采样值,in、in+1、in+2分别为tn、tn+1、tn+2时刻电流信号的采样值,如图2-8所示。    

则取t1时刻在tn、tn+1的中间,t2时刻在tn+1、t+2的中间,t、t2时刻的间隔为一个采样间隔,那么式(2-28)和式(2-29)中的ui、u2、i1、i2应取相邻采样值插值(即取平均值),有


图片


电流的导数D1、D2则由差分近似计算,于是近似有


图片


应当指出,R-L模型算法实际上求解的是一组二元一次代数方程,带微分符号的量D1和D2是测量计算得到的已知数。

R-L模型算法也曾被称为解微分方程法,名称的由来是因为算法是根据式(2-27)所示的微分方程导出的,并不十分确切。

2.长数据窗法

长数据窗法计算电阻、电感的算法与短数据窗算法的区别,一是建立方程组时选择t1、t2时刻的间隔为两个采样间隔,二是算法所采用的数据经过的数字滤波器的延时也要比短数据窗经过的数字滤波器的延时长。为此,应选择连续的4个采样值作为计算数据。设un、un+1、un+2、un+3分别为tn、tn+1、tn+2、tn+3时刻电压信号的采样值,in、in+1、in+2、in+3分别为tn、tn+1、tn+2、tn+3时刻电流信号的采样值,如图2-9所示。

则取t1时刻在tn、tn+1的中间,t2时刻在tn+2、tn+3的中间。t1、t2时刻的间隔为两个采样间隔。当u1、u2、i1、i2分别取 tn、tn+1和tn+2、tn+3时刻采样值的平均值,D1、D2则分别取tn、tn+1和 tn+2、tn+3时刻采样值的差分近似计算时,算式与短数据基本相同。

3.积分法

除了上述直接解法以外,还可以将式(2-27)分别在两个不同的时间段内积分,而得到两个独立的方程,即


图片


式中∶T0为积分时间长度,t1和t2则为两个不同的积分起始时刻。以上两积分式中


图片


其余各项积分在用计算机处理时可用梯形法则近似求得。联立解式(2-31)和式(2-32)也可求得两个未知数R1和L1

将式(2-27)积分后再求解,和直接求解相比,如果积分区间T。取得足够大,则兼有一定的滤波作用,从而可抑制高频分量,但它所需的数据窗要相应加长。作为一种单独求解的 R-L模型算法,本身兼有滤波作用,应算作它的一个优点。

4.数据窗对微分方程算法计算阻抗的稳定性影响

注意到用建立微分方程求解R、X的公式中,分子、分母都是两项乘积相减。因此有必要分析在进行减法运算时是否会遇到两项乘积的值十分接近,从而使相减的结果近似为零的情况。尤其是建立微分方程的两个时刻t1、t2可能处于基波分量的任何相角上。这就有可能出现两个相近的乘积相减,如果计算R、X的公式中的分母接近于零,就会由于分母计算的微小误差使R、X结果产生很大的误差,如果分子、分母都接近于零,计算会出现不稳定。为了提高分母的数值,以便提高算式的稳定性,可以适当加大模型算法中t1和t2的时间差,如图2-9中相差两个采样周期。

R-L模型算法不仅反映基频分量,而且在相当宽的一个频段内都能适用。这就带来了两个突出的优点∶

(1)它不需要用滤波器滤除非周期分量。因为电流中的非周期分量符合 R-L模型算法所依据的方程。可见R-L模型算法可以只要求采用低通滤波器,因而这种算法较之要求带通滤波器的其他算法,其总延时可以较短,因为低通滤波器的延时要比带通滤波器短得多。

(2)R-L 模型算法不受电网频率变化的影响。前面介绍过的几种其他算法都要受频率变化的影响。因为这些算法都要求采样间隔(相当于输入信号的基频电角度)为一个确定的数值。采样间隔决定于微机的晶体振荡器,是相当准确和稳定的。电网频率偏离额定值后,这两者之间的关系被破坏了。从而带来计算误差。而R-L模型算法所依据的方程在相当宽的一个频段内都成立,因而可以在很大的频率范围内准确地计算出故障线路段的R1和L1。R-L模型算法要用差分求导,带来了两个问题;一是对滤波器抑制高频分量的能力要求较高;二是要求采样频率较高,以便减小求导引入的计算误差。R-L模型算法只需要求电流的导数,由于输电线感抗分量远大于电阻分量,所以电压中的高频分量通常远大于电流中的高频分量。因而,就抑制高频分量的要求来说,R-L模型算法比导数法要低得多。

R-L模型算法可以不必滤除非周期分量,因而算法的总时窗较短,且不受电网频率变化的影响。这些突出的优点使它在线路距离保护中得到广泛的应用。而R-L模型算法允许用短数据窗的低通滤波器,如果也采用一个窄带通滤波器与此配合时,R-L模型算法也可以得到很高的精度,同时还保留了不受电网频率变化影响的优点。


五、移相算法

这里只讨论正弦工频量的移相算法。

1.差分算法移相

差分算法可抑制输入信号中的非周期分量电流影响,差分可以代替 R-L 模型算法中的微分。但同时差分算法使输入信号中的正弦工频电流的幅值发生变化、相位发生移动。

对输入信号中的正弦工频电流Imsin(ω1t+θ1)来说,正弦工频电流的差分超前原有电流的相角是90°一180°/N,从而可实现差分移相算法。

当采样频率为600Hz时,超前移相75°;1000Hz时,超前移相818;1200Hz时,超前移相82.5°。可见,当采样频率为600~1200Hz时,超前的角度与输电线路阻抗角十分接近,因此差分运算可用来设定线路阳抗角。差分算法移相的角度不能调整,仅与差分的阶次、采样频率有关。此外,所需数据窗时间短。

2.时差移相运算

设在tn、tn十kTs、时刻对正弦工频电流 Imsin(ω1t+θ1)采样,延时kTs采样得到的电流i(n+kTs)超前电流 i(n)的相角是kωT,即2kπ/N。实际并未获得超前电流,而是用滞后时间采样获得这一超前电流,所以称时差移相运算。

在实现时差移相运算时,电流幅值保持不变,仅起相位移动作用。不同时刻采样值可以直接移相wT。角度,间隔k个采样点时移相kωTs角度。当采样频率为600Hz 时,N=12,可实现k=1移相30°;k=2移相60°;k=4移相120°。采样频率为1200Hz时,可实现k=2 移相30°;k=4移相60°;k=8移相120°。

同理容易理解,在tn、tn一kTs时刻对正弦工频电流采样,得到的i(n一kTs)采样值滞后i(n)的相角是2kπ/N。

时差移相运算的移相角度也是固定的,当然移相的角度不能是任意的。此外,当移相的角度较大时,k值较大,时间窗相对长一些,不利于保护动作速度的提高。

虽然差分移相算法的数据窗时间只要一个采样间隔,但移相角度不能调整。如有需要,可以用短数据窗移相角度为任意值的算法。


六、序分量计算方法

电力系统发生接地或不对称故障(包括元件故障)时,会产生零序分量、负序分量、正序分量的电流和电压。对于正序分量来说,其中包含负载的正序分量。因此,序分量电流、电压的出现(正序分量中应去除负载正序分量)可用来反映短路故障或不正常运行工况。

1.零序电流的计算方法

零序分量的算法最为简单。零序电压的计算式为

3u0(n)=uA(n)+uB(n)+uC(n)

即用A、B、C三相电压n时刻的采样值相加求出n时刻零序电压值。这种方法得到的零序电压通常称为自产零序电压,以区别于由电压互感器开口三角经数据采集通道得到的零序电压。如需要求出零序电压有效值,可应用求有效值的方法。在微机继电保护中,除在采样中断服务程序中,进行数据检查或电压互感器二次一相或两相断线时,用此自产零序电压与来自电压互感器开口三角的3uc进行比较外,其他反映零序电压的保护多数要在计算零序电压前,经过一个三次谐波滤过器,即三次谐波是滤波器的零点,以消除三次谐波的影响,提高零序电压保护的灵敏度。

零序电流可从三相电流获取,计算式为

3i0(n)=iA(n)+iB(n)+iC(n)

iA(n)、iB(n)、iC(n)应是正弦工频电流采样值(滤波后获得),然后可由半周积分算法求出它的有效值。这一方法在微机继电保护的采样中断服务程序中用于进行数据检查。对于变压器接地保护,除反映变压器中性线零序电流互感器的零序电流实现接地保护,用户往往还要求反映变压器套管电流互感器的三相电流产生的零序电流构成变压器的接地保护。所以,零序分量的算法尽管简单,但在微机继电保护中还是很有意义的。

零序电流也可从三相电流互感器二次侧中性线中直接获取。为避免暂态中不平衡电流的影响,可通过差分算法、傅氏算法后求出3i0的有效值。

2. 三相式接线时正序和负序电流的计算方法

在采用三相式接线的保护中,通过三个电流互感器在IAIBIC已知状态下计算出正序、负序电流值。电流计算时,需将IB、IC移相,通常有两种计算方法。

(1)相量方法计算序电流。由对称分量法关于正、负序分量的定义,电流的表示式为

A1 =ÌA+ÌBe-j240°+IC-jl20°

A2A+ÌBe-jl20°+ICe-j240°

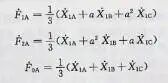
相量方法计算正序、负序电流是指先将三相电流进行滤波取出正弦量(即相量),而后利用时差移相滤序实现序电流的计算。当每周期采样点N=12时,4个采样间隔正好可以移相120°。通常情况下,采用傅氏算法求取三相电流的实部、虚部,以此可得到以相量方法表示的正序、负序电流实部、虚部。可以将正序、负序电流的表示式改写为

A1AC+ÌBCe-j60°

A2AB+ÌBCe-j60°

负序电流的实部和虚部的傅氏算法公式分别为


图片


利用时差移相滞后60°,则负序电流的实部、虚部的傅氏算法可以简化。因序电流的算式是建立在先对三相电流进行滤波而后滤序的基础上,所以有较好的精确度和暂态性能,但计算量较大。算法需要的数据窗长度是一个工频周期(N个采样点)。

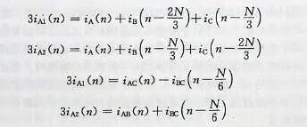
(2)以采样值方法计算正序、负序电流。采样值法计算序电流是指先滤序求出序电流的采样值,而后再进行滤波计算出序电流。当每周采样N个点时,正序、负序的采样值为


图片


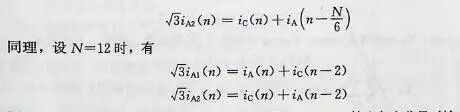
设N=12,cT。=30°,根据移相时数据窗的不同,可有不同的几种算法。最典型的取数据窗为4时,由相量图2-10可得


图片


以负序为例来分析。如图2-10(a)所示为输入正序分量时的相量关系,故3iA2输出为零。如图2-10(b)所示为输入负序分量时的相量关系,故其输出值为3iA2

以上式中均为正序、负序电流的采样值。式(2-44)、式(2-45)滤序算法的数据窗长度是1/3工频周期,式(2-46)、式(2-47)是1/6工频周期。可以证明,用一个采样周期同样也可求得序分量。这就是说,短路故障后至少经上述时间才能获得序电流的采样值,小于上述时间序电流的采样值并不表示负序电流,而是暂态过程中的某时刻采样值,这点需要特别注意。

负序电流采样值求得后,最简单的方法是采用半周积分算法计算出负序电流值。这样,负序电流的计算时间为半个工频周期与滤序时间之和。这种负序电流的算法简单,计算量也较小,但误差较大,暂态性能也差,在谐波较为丰富的场合,情况尤为严重。

采用傅氏算法可滤去高次谐波,情况得到改善。于是求取负序电流实部、虚部的算式[以式(2-43)采样值为例]为


图片


这种由采样值算法得到的负序电流实部、虚部的算法,负序电流计算时间为一个工频周期与滤序时间之和。

3.两相式接线时正序和负序电流的计算方法

在中性点不直接接地电网中,有些场合只有两相电流互感器(通常是A、C相)。两电流互感器方式指的是在IA、Ic已知状态下计算出正序、负序电流。注意,在这种情况下没有零序电流分量。

(1)负序电流表示式。因没有零序电流分量,所以设法消去正序电流分量,就可得到负序电流表示式,即负序电流由IA、Ic获取的表示式。

图 2-11(a)所示为正序电流相量关系,不难看出,将IA后移60°,则可滤去正序电流分量;图2-11(b)所示为负序电流相量关系,由图可得到负序电流的表达式为


图片


2)负序电流的算式,用采样值方法计算负序电流时可参见图2-11,有


图片


图 2-11(a)输入正序分量时输出i 为零。图2-11(b)输人负序分量时输出值为、根号3i2从而可按半周积分算法计算出负序电流 i1(t)、i2(t)的有效值。或者,类似于式(2-48)用傅氏算法计算负序电流的实部、虚部,而后再计算出负序电流。应当指出,半周积分算法易受谐波电流的影响。


图片


需要说明的是,计算得到的正序电流中包含负载电流。在负序电流的计算中,应注意三相电流中的非周期分量和高次谐波的影响。在负序电压的计算中,虽然三相电压中的非周期分量并不像电流中那样严重,但更应注意的是因电感上压降而被放大了的高次谐波的影响。在电压互感器开口三角形侧获取零序电压时,尤其要注意三次谐波的影响。


七、故障方向的相位比较算法

在继电保护中,经常要测量短路故障的方向,判别短路故障在保护正方向上还是在保护反方向上。例如接地保护中的零序功率方向元件、方向高频保护中的负序功率方向元件、电流保护中的90°接线的功率方向元件等。此外,在有些元件保护中,设置方向元件以获得保护的选择性。故障方向的计算,在微机继电保护中采用最多的是相位比较算法。

1.余弦型算法

在微机继电保护中使用较广的是余弦型算法,余弦型算法的判据为


图片


其中,X、Y是比相的两个工频电压,X、Y同相时最灵敏。实现该判据通常有如下几种算法。

(1)傅氏算法。设X的相角为a,Y的相角为β,则式(2-52)可等效为(Xm、Ym是X、Y的幅值)


图片


式中∶x(k)、y(k)分别为X、Y表示式x(t)、y(t)在tk时刻的采样值。

式中算法的时间窗是一个工频周期,若要加快动作时间,也可采用半周傅氏算法。

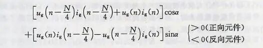
(2)采样值算法。对输入信号中的正弦工频电流Imsin(ω1t+θ1)来说,当采样值i(n)是电流I的虚部(X1)时,相隔N/4的采样值,i(n-N/4)应是电流I的实部的负值(-XR)。由式(2-53)可得


图片


式中应用了x(t)、y(t)两个点采样值的乘积,所以可称为两点乘积算法。显而易见,两点乘积算法与傅氏算法是统一的。算式的时间窗是5ms。

(3)计数算法。图2-12示出了x(t)、y(t)的波形,当0=argX/Y时,则动作判据为|θ|<90°。由图2-12明显可见,动作状态时在任意半个工频周期内,x(t)与yt)同极性的角度是 180°—|θ|(图中有阴影线区域),异极性的角度是|θ丨。于是,当同极性的角度大于异极性的角度时,就判为动作状态。

因此,在工频半周期内,对z(k)与y(t)的采样值进行符号比较,即对z(k)、y(k)进行异或逻辑运算[x(k)④y(k)]。在软件中设有一个计数器,当符号相同时计数器减1,当符号相异时计数器加1,于是计数值g为


图片


判断计数器的计数值g,显然,g<0 就判为式(2-52)处于动作状态,实现了相位比较的计数算法。计数算法的时间窗是10ms。

当X、Y比相的动作判据为


图片


其算法只需将式(2-53)和式(2-54)判据中的">"改为"<"即可,对于计数算法来说,g>0就判式(2-56)处动作状态。

2.零序方向元件的算法

设信号为零序电压(可以是由零序电压采样通道采样得到,也可以是由自产零序电压得到)和零序电流。由图2-13的相量关系可见,正向接地故障时,3U0滞后3I0的相角是180°一gwo;反向接地故障时,3U0超前3i。的相角是φ'so,并且这种相位关系与过渡电阻R。无关。图2-13所示为正、反方向接地时3U0与3i0的相位关系。

电力系统中各元件的零序阻抗角可认为基本相 图2-13 正、反方向接地故障时零序电压、同,所以图中的 om =φ'so,且在70°~80°。若将3I。向超前方向移相 Qxo,则以3igeinno 作参考相量时,有


图片


即3Ì0落在图2-13中直线的非阴影线侧是反向接地判据式(2-57a);3Ì0落在图中直线的阴影线侧是正向接地判据式(2-57b)。

为实现3i0向超前方向移相φM0,可采用一阶差分移相(fs=600Hz时,移相φM075°;fs=1000Hz时,移相φM081°)。

用计数算法的判据算式为


图片


g>0判为正向接地,g<0判为反向接地。实际上,正方向接地短路时,差分后3I'03U0接近反相位,如图2-13(a)所示。则在一个周期内,电流的差分与电压的符号全部相反,计数器的计数值g=N;而反方向发生接地短路时,差分后3I'03U0同相位,如图2-13(b)所示。计数器的计数值g=-N。所以对g的判决并非一定要半个工频周期结束才作出判决结果,连续判几次就可作出判决结果,有利于保护动作速度的提高。如零序电流落在动作边界处,差分后的电流与零序电压的相位差为90°。所以,两者的符号有一半为同号,一半为异号,计数器的计数值g=0,方向元件不动作。

3.负序方向元件的算法

稳态型负序方向元件是指只要负序分量存在,方向元件就有相应的输出,即负序方向元件的输出与负序分量作用的时间长短无任何关系。

负序电压、负序电流间的相位关系完全与零序电压、零序电流间相位关系相同。负序方向元件(稳态型)的动作判据与零序方向元件相同,判据为

 

图片


结合负序算法的表达式,计数算法的判据算式为

 

图片


g>0判为正向短路,g<0判为反向短路。

可以看出,短路故障后需1/6工频周期才能真正计算出负序分量,计及移相算法还要再加上一个采样周期。因此,在短路故障发生的上述时间内,计算出的负序方向并不正确。当采样频率为1000Hz时,负序方向至少在4.33ms后才能正确计算出来,应注意这一实际情况。这与零序方向元件算法是有区别的。

在短路故障后某一时间内存在的负序故障分量方向元件的判据与稳态型负序方向元件完全类似。但只能在短路故障后某一时间段内判断故障方向,并不受负序不平衡输出影响,有较高灵敏度。

4.反映相间短路故障方向元件的算法

采用90°接线的相间短路故障方向元件的电流(如IA)、电→0 压(如UBC)如图2-14所示。将电流相量Ig和电压相量超前a角的Ugeja比相,在士90°内时为正方向,否则为反方向。将电流相量滞后a角的Ige-ja"和电压相量Ug比相,如图2-14所示。

因此功率方向元件的判据可表示为

 


图片

图片

图片



一般称α为功率方向元件的内角(30°或45°),显而易见,当Ig超前Ug的相角正好为α时,正向元件动作最灵敏。

计数算法的判据算式和零序方向元件的算法类似,但正、反向的判断与前述负序、零序方向元件刚好相反。判据为∶g<0 判为正向相间故障;g>0判为反向相间故障。

由式(2-54)可得到相间短路方向元件采样值算法的判据为

 

图片

 

八、突变量电流算法

在模拟保护中常用突变量元件作启动及振荡闭锁元件,这些突变量元件在微机继电保护中实现起来特别方便,因为保护装置中的循环寄存区具有一定的记忆容量,可以很方便地取得突变量。以电流为例,其算法为

 

△i(n)=| i(m)-i(n—N)|

 

式中∶i(n)为电流在某一时刻n的采样值;N为一个工频周期内的采样点数;i(n一N)为比i(n)早一周的采样值;△i(n)为n时刻电流的突变量。

将电力系统故障后的状态分解为正常分量和故障分量两部分,如图2-15所示。可以看出,当系统正常运行时,负载电流是稳定的,或者说负载虽有变化,但不会在一个工频周期这样短的时间内突然发生很大变化,如图2-16中t-2T、t一T时刻。因此这时i(n)和i(n—N)接近相等,△i(n)等于或近似等于零。

 

图片


如果在t时刻发生短路,故障相电流突然增大如图2-16中实线所示,将有突变量电流产生。按式(2-63)计算得到的△i(n),实质是用叠加原理分析短路电流时的故障分量电流,负载分量在式中被减去了。显然突变量仅在短路发生后的第一个周期内存在,即△i(n)的输出在故障后持续一个周期。

按土述公式计算存在不足。系统正常运行时△i(n)本应无输出,即△i(n)应为0,但如果电网的频率偏离 50Hz,就会产生不平衡输出,这是因为i(n)和i(n一N)的采样时刻相差20ms,这决定于微机的定时器,它是由石英晶体振荡器控制的,十分精确和稳定。电网频率变化后,i(n)和i(n一N)对应电流波形的电角度不再相等,两者具有一定的差值而产生不平衡电流,特别是负载电流较大时,不平衡电流较大可能引起该元件的误动。为了消除由于电网频率的波动而引起不平衡电流,突变量的计算式为

 

Δi(n)=||i(n)—i(n—N)|-|i(n—N)—i(n—2N)||

 

正常运行时,如果频率偏离50Hz而造成i(n)一i(n一N)不为0,但其输出必然与i(n—N)一i(n-2N)的输出相接近,因而式(2-64)右侧的两项几乎可以全部抵消,使△i(n)接近为0,从而有效地防止误动。

用式(2-64)计算突变量不仅可以补偿频率偏离产生的不平衡电流,还可以减弱由于系统静稳定破坏而引起的不平衡电流,只有在振荡周期很小时,才会出现较大的不平衡电流,这就保证了静稳定破坏检测元件能可靠地抢先动作。其数据窗为两周,突变量持续的时间不是20ms,而是40ms。

1.相电流突变量元件

当式(2-64)中各电流取相电流时,称为相电流突变量元件。以A相为例,计算式可写成

 

△iA(n)=|iA(n)—iA(n—N)|-|iA(n-N)—iA(n—2N)

 

对于B和C相只需将上式中的A换成B或C即可。该元件在微机继电保护中常被用作启动元件,三个突变量元件一般构成"或"的逻辑。为了防止由于干扰引起的突变量输出而造成误启动,通常在突变量元件连续动作三次才允许启动保护,其逻辑图如图2-17所示。

 

图片

 

2.相电流差突变量元件

当式(2-64)中各电流取相电流差时,称为相电流差突变量元件。其计算式变为

 

△iφφ(n)=||iφφ(n)—iφφ(n—N)|-|iφφ(n—N)—iφφ(n-2N)||

 

式中im分别取 AB、BC、CA。该元件通常用作启动元件和选相元件。用作启动元件时的逻辑关系与相电流突变量相似。作为选相元件时,要求能反映各种故障,不反映振荡,特别是在非全相运行中振荡时不能误动。为了能更有效地躲过系统振荡,可将公式变为

 

△iφφ(n)=||iφφ(n)—iφφ(n—N/2)|-|iφφ(n—N/2)—iφφ(n-N)|| 

 

式(2-67)不是相隔 N点的采样数据相减,而是相隔 N/2的两个采样值相加,这样一方面缩短了数据窗,另一方面对躲过系统振荡更为有利。相电流差突变量可用于选相元件。

3.序分量突变量元件

若式中所用的各电流是负序和零序分量采样值,则该元件为负序突变量或零序突变量元件,这些元件可以用作启动元件及振荡闭锁元件。

将上述各式中的电流改为电压即成为电压突变量元件,电压突变量元件与电流突变量元件配合可以构成突变量距离和突变量方向等元件。

 

九、选相元件算法

常规的距离保护装置,为了反应各种不同的故障类型和相别,需要设置不同的阻抗测量元件,接入不同的交流电压和电流。这些阻抗元件都是并行工作的,它们同时在测量着各自分管的故障类型的阻抗,因此,在选相跳闸时,还要配合专门的选相元件。在用微机构成继电保护的功能时,为了能够实现选相跳闸,同时防止非故障相的影响,一般都要设置一个故障类型、故障相别的判别程序。

故障选相判断的主要流程如图2-18所示,其步骤是∶

1)判断是接地短路还是相间短路。

2)如果是接地短路,先判断是否单相接地。

3)如果不是单相接地,则判断哪两相接地。

4)如果不是接地短路,则先判断是否三相短路。

5)如果不是三相短路,则判断是哪两相短路。选相方法既可以用于选相跳闸,又可以在阻抗元件中做到仅投入故障相(或相间)阻抗测量元件。在突变量启动元件检出系统有故障后,先由选相元件判别故障类型和相别,然后针对已知的相别提取相应的电压、电流进行阻抗计算。目前微机继电保护常用的选相元件有突变量电流选相和对称分量选相方法。


图片


1.突变量电流选相

如前所述,微型机可以方便地取得各相电流的突变量,去掉负载分量的影响,使故障相判别十分简单和可靠,而且切换完全由软件实现,并没有真正的切换触点,因此相别切换的原理在微机继电保护中得到了广泛的应用。另外,这种相别切换的原理还带来一个附带的好处,即对于两相接地短路,经过故障相判别后,可按相间故障的方式计算阻抗,因而可以避免两相接地故障时,常规接地阻抗继电器超前相的超越问题。

进行下面分析时,电流均指突变量电流,在故障初始阶段即为故障分量电流。故障相判别程序所依据的各种故障类型的特征如下。

1)单相接地故障(以A相为例)。根据对称分量法的基本理论,当发生A相接地时,流过保护安装处的电流(故障分量)为接地相A很大。非故障相电流△ÌB△ÌC不一定为零,而与正序和零序电流的分布系数之差成正比。假定系统的正序阻抗和负序阻抗相等,而两个非故障相电流可能和故障相电流相位相差180°,也可能同相。而两非故障相的故障电流差为零。因此单相接地故障的特征是故障相电流很大,两个非故障相电流之差△ÌBC为零,其他故障类型没有这个特征。

2)两相不接地短路。两相不接地短路(以BC两相相间短路为例)时,非故障相电流为零,故障相电流很大而相位相反。因此三种不同相电流差中,两个故障相电流之差△ÌC最大。

3)两相接地短路。两相接地短路(以BC两相接地短路为例)时,三种不同相电流差中,仍然是两个故障相电流之差△ÌBC最大。

4)三相短路。显然是三个相电流差的有效值均相等。

根据以上各种故障类型的分析,结合每种故障类型的特点,故障相判别程序的流程图如图2-19所示。图中全部电流均指变化量。

 

图片

 

第一步首先是计算三种相电流差突变量的有效值,算法可以采用半周积分算法。相电流差突变量计算式为

 

图片


式中△ÌAB△ÌBC△ÌCA分别为相电流差突变量△IA△ÌB△ÌC分别为相电流突变量ÌAÌBÌC分别为故障后相电流;Ì[O]AÌ[O]BÌ[0]C分别为故障前相电流。

可以根据测量电流中是否含有零序分量判断是接地短路还是相间短路。如果是接地短路。通过比较,求出三个相电流差突变量中的一个最小者,则

m丨△ÌBC|≤|△ÌAB|)∩(m|△ÌBC|≤|△ÌCA|)判断为A相单相接地短路故障;

m丨△ÌCA|≤|△ÌBC|)∩(m|△iCA|≤|△ÌAB|)判断为B相单相接地短路故障;

m|△ÌAB|≤| △ÌCA|)∩(m|△ÌAB|≤|△ÌBC|)判断为C相单相接地短路故障。

其中,m为整定倍数,一般取4~8。

2-19中仅给出了△ÌBC最小的情形,即以A相接地故障为例来说明。当A接地故障时,△ÌAB△ÌCA都有输出且两者接近(理想情况下相等),而△ÌBC输出很小(理想下为0)。如果△ÌBC最小,则先判断是否为单相接地。当△ÌBC远小于另两个电流差的有效值△ÌAB△ÌCA时,判断为A相接地。工程实际中,可以用5倍的门槛来判定是否"远小于"。因为任何其他类型的短路,都不符合这个特征。

如果经判断不是单相接地,那么必定是相间短路。对于两相接地故障,如果△ÌAB大,△ÌBC△ÌCA相等或接近相等,为对应 AB两相接地。若无零序电流,则判定故障为非接地故障。

m|△ÌC|<|△ÌA|)∩(m|△ÌC|<|△ÌB)则判断为AB两相短路故障;

(m|△ÌA|<|△ÌB|)∩(m|△ÌA|<|△ÌC|)则判断为BC两相短路故障;

(m|△ÌB|<|△ÌA|))∩(m|△ÌB|<|△ÌC|)则判断为CA两相短路故障。

其中,m为整定倍数,取值范围为4~8。当上述条件都不满足时,则为三相短路故障。

2.对称分量选相

电流突变量选相元件在故障初始阶段有较高的灵敏度和准确性,但是,突变量仅存在20~40ms,过了这个时间后,由于无法获得突变量,所以突变量选相元件就无法工作了。为了有效地实现选相,达到单相故障可以跳单相的目的,必须考虑其他的选相方案。除了突变量选相之外,常用的选相方法还有阻抗选相、电压选相、电压比选相、对称分量选相等,其中,对称分量选相是一种较好的选相方法。

分析输电线路发生各种单重故障的对称分量时,可以知道,只有单相接地短路和两相接地短路才同时出现零序和负序分量,而三相短路和两相相间短路均不出现稳态的零序电流。因此,可以考虑先用是否存在零序电流分量的办法,去掉三相短路和两相相间短路的影响,然后,再用零序电流 3I。和负序电流 3I。进行比较,找出单相接地短路与两相接地短路的区别。

1)单相接地短路。单相接地短路时,根据故障相的复合序网,其中ÈΣZZZ>均为复合参数。在故障支路,无论是金属性短路,还是经过渡电阻短路,始终存在Ì1k2k0k在保护安装地点有

 

图片

 

应当说明的是,当发生Ⅲ段外的BC两相接地时,即使按A相接地短路处理,也不会有什么不良后果,因为,这种情况下的ZA测量阻抗较大,保护的动作元件不会动作。综合上述分析,可以做出对称分量选相流程图,如图2-25所示。

 

图片

顺便指出,常规保护中的选相元件通常只采用一种选相方法,并将这种选相方法贯彻始终。实际上,保护中的各种方法(包括选相方法)和判据都有各自的特点,但不少判据又有一定的局限性,因此,在选择方法和判据时,应该考虑其充分的使用条件,这一点要引起注意。如电流突变量选相仅在短路初始阶段十分有效,而对称分量选相只能在同时有零序和负序电流时才起作用,其他的选相方法也同样有一定的使用条件,可参阅相关参考资料。