相间短路的阶段式电流保护

中级(河南用户自传) • 2023-07-27 • 10+ 浏览


相间短路的阶段式电流保护

 

10、35kV线路一般为小电流接地电网中线路,主要为馈电线路。对馈电线路,一般设置三段式电流保护、低周减载、三相一次重合闸和后加速保护以及过负载保护,并具有小电流接地选线功能。每个保护通过控制字可投入和退出。为了增大电流速断保护区,可引入电压元件,构成电流电压连锁速断保护。在双电源线路上,为满足保护选择性,电流保护中引人方向元件控制,构成方向电流保护,其中各段电流保护的方向元件通过控制字可投入和退出。

在三段式电流保护中,为缩短动作时限,第Ⅲ段可整定为反时限。通过控制字可选用反时限特性形式。需要指出,末端馈线保护一般只需设置两段式电流保护或反时限电流保护就可以满足要求。

电流保护反映的是相间短路故障,包括两相相间短路故障、两相接地短路故障、三相短路故障和异地不同名相两点接地故障。为使异地不同名相两点接地故障有尽可能多的机会切除一个故障点,保护装置采用两相式接线,并装设在同名的两相上,通常装设在A、C相上(异地不同名相两点接地时有2/3的机会切除一个接地点)。

对于单相接地故障,在中性点不接地或经消弧线圈接地的电网中,保护装置应具有接地选线功能。要采用专用的零序电流互感器取出零序电流。如中性点经小电阻接地,则零序电流保护可直接作用于跳闸,并具有良好的选择故障线路的性能。在10/35kV线路保护装置中,一般包含有测量控制(测控)功能。

 

一、阶段式(三段式)电流保护

电流保护多采用三段式,第I段为无时限电流速断保护或无时限电流闭锁电压速断保护,第Ⅱ段为带时限电流速断保护或带时限电流闭锁电压速断保护,I段和Ⅱ段保护作为本线路相间短路的主保护;第Ⅲ段为过电流保护或低电压闭锁的过电流保护,Ⅲ段作为本线路相间故障的近后备保护及相邻线路的远后备保护。但根据被保护线路在电网中的地位,在能满足选择性、灵敏性和速动性的前提下,也可只装设Ⅰ、Ⅱ段,Ⅱ、Ⅲ段或只装设第Ⅲ段保护。三段相比较而言,I段动作电流整定值最大,动作时间最短;Ⅲ段动作电流整定值最小,动作时间最长。三段电流保护的定值呈阶梯特性,故称为阶段式电流保护。当电流超过定值且时间大于整定延时后,装置即出口跳闸,同时发出动作信号。

阶段式电流保护要解决的问题主要是配合问题,即保护范围的配合(由整定值的配合实现)、动作时间的配合。以下简要说明各段保护间保护范围和动作时间的配合。

设在如图3-1所示的系统中采用阶段式电流保护,以断路器QF1上的保护为分析对象第I段保护又称为瞬时速断保护,其保护范围被限制在被保护线路以内。为了满足选择性第I段保护不能保护线路的全长,即必须缩短保护范围。为保证选择性第I段动作值按躲相邻线出口短路时流过保护的最大短路电流整定,一般要求第I段保护的保护范围应大于线路全长的15%。

 

图片

 

第Ⅱ段保护又称为带时限速断保护。第Ⅱ段保护的作用是保护第I段保护不到的部分即第Ⅱ段保护必须保护线路的全长,保护范围必然会延伸到下级线路。这样,上级线路的第Ⅱ段保护就要考虑与下级线路上的保护配合。首先考虑与下级的第Ⅰ段保护配合,即上级第Ⅱ段的保护范围不能超过下级第1段的保护范围。为了满足选择性,第Ⅱ段保护必须带时限,如果不带时限,当故障发生在下级线路上时,上级的第Ⅱ段就有可能同下级的第I段同时动作。从快速性的要求出发,保护带的时限应尽可能短,但必须保证在下级第I段保护范围内发生故障时,下级第I段保护动作将故障切除,故障切除后,上级的第Ⅱ段有足够的远回时间。

当上级的第Ⅱ段保护的保护范围或灵敏度满足不了要求时,可考虑与下级的第Ⅱ段昏合,即上级第Ⅱ段的保护范围不能超过下级第Ⅱ段的保护范围。其动作时间对应增加一个时限级差。

第Ⅲ段保护是后备保护,后备分近后备和远后备。近后备是作本断路器上其他保护的后备远后备是作下级断路器上所有保护的后备和下级断路器的后备,即当下级的保护或断路器由于某种原因拒动时,上级的后备保护动作,将故障切除。第Ⅲ段保护由于要作下级的后备保护,因此,它的保护范围应该包括下级线路的全长。为了满足选择性,第Ⅲ段保护延时按阶梯型原则确定。

阶段式电流保护的构成逻辑框图如图3-2所示。

 

二、反时限过电流保护

由于定时限过电流保护(Ⅲ段)愈靠近电源,保护动作时限愈长,对切除故障是不利的。为能使Ⅲ段电流保护缩短动作时限,可采用反时限特性。当故障点愈靠近电源时,流过保护的短路电流 I愈大,动作时间t愈短。目前中低压微机继电保护装置都具有反时限过电流保护,而且应用非常广泛。

 

图片



反时限有三种特性方式。

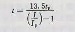
(1)标准反时限,有

 

图片

 

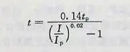
(2)非常反时限,有

 

图片


(3)极端反时限,有

 

图片

 

式中:tp为时间常数,一般取第Ⅲ段的时间定值(0.05~1s);Ip为电流基准值,一般取第Ⅲ段的电流定值;Ⅰ为通过保护的短路电流;t为反时限特性的动作时间。

对于长时间反时限也能实现,长时间反时限表达式为

 

图片

 

通过控制字可以选择其中的一种方式。一般的反时限过电流保护同时含有速断功能,当电流超过速断定值时会瞬时动作。实际上就是包括电流速断和反时限特性过电流的两段式保护,保护性能优于传统的两段式保护。因此,反时限过电流保护广泛用于末端馈线中。

反时限过电流保护的启动电流定值按躲过线路最大负载电流条件整定,本线路末端短路故障时有不小于1.5的灵敏系数,相邻线路末端短路故障时最好能有不小于1.2 的灵敏系数;同时还要校核与相邻上下一级保护的配合情况(电源侧为上一级,负载侧为下一级)。反时限过电流保护最主要的问题是相互配合,以下做具体说明。

(1)与相邻上一级(或下一级)反时限过电流保护的配合。以图3-3中保护1(上一级)与保护2(下一级)反时限过电流保护间的配合为例加以说明。


图片


保护1反时限过电流保护特性(如图3-3中曲线1)应高于保护2反时限过电流保护特性(如图3-3中曲线2)。即保护的电流定值应配合,满足

 

Iset.Ⅲ.1=KrelIset.2

 

保护2出口三相短路故障(图3-3中k2点)。保护1与保护2的反时限过电流保护通过相同最大短路电流时,所对应的动作时间应配合,配合级差△t2应大于等于0.5~0.7s.

当保护2的电流速断保护长期投入时,保护2与保护2与保护1的反时限过电流保护配合点可选在保护2速断保护区末端(图3-3中k1点)。k1点短路故障时,保护1与保护2通过最大短路电流时,△t1应不小于0.5-0.7s;同时,还应校核在常见运行方式下,k2点短路故障时△t2不小于一个时间级差。

(2)与上一级定时限过电流保护(Ⅲ段)的配合。以图3-4中保护2(下一级>反时限过电流保护与保护1(上一级)定时限过电流保护间的配合为例加以说明。

保护1的Ⅲ段与保护2反时限过流的启动电流定值配合,应符合保护1的定值大于保护2的定值一定的可靠倍数,与式(3-5)类似。

其次,动作时限也要配合。图3-4中阶梯形曲线1为保护1的时限特性。设k3点为保护1第Ⅲ段电流保护保护范围末端,当在该点短路故障时,流过保护2反时限过电流保护的电流对应的动作时间,应小于保护1过电流保护的动作时间,配合级差△t3应不小于0.5~0.7s,

(3)与下一级定时限过电流保护(口段)的配合。以图3-4中保护2(上一级)反时限过电流保护与保护3(下一级)定时限过电流保护间的配合为例说明。

保护2的反时限过电流的启动电流与保护3的Ⅲ段定值配合。应符合保护2的定值大于保护3的定值一定的可靠倍数,与式(3-5)类似。

动作时限也要配合。保护2反时限过电流保护特性如3-4图中曲线2,当保护2出口三相短路故障(图3-4中k2点),保护2与保护3通过相同最大短路电流时,保护2与保护3第重段时间t的级差△∶应大于等于0.5~0.7s。

当保护3的电流速断保护长期投人时,保护2与保护3配合点可选在保护3速断保护区末端(图3-4中k1点)。k1点短路故障时,保护3与保护2通过最大短路电德时,△t1应不小于0.5~0.7s;同时,在常见运行方式下,k2点短路故障时△t2不小于一个时间级差。

 

图片


 

三、电压闭锁的方向电流保护

在双侧电源续路上∶电湾保护应增设方向元件以构成方向电流保护,增设方向元件后,只反映正向短路故障。对电流保护Ⅱ段,装设方向元件后,可不与反方向上的保护配合,有时可以提高灵敏度。同时,将低电压元件引入方向电流保护,可提高方向电流保护的工作可靠性,有时也可提高过电流保护的灵敏度,低电压闭锁元件的动作电压一般取60%~70%的额定电压。

1.功率方向元件及动作区域

对于传统的相间短路功率方向维电器,采用的接线方式是 90"接线。同样,微机键电保护中方向元件判断方向所根据的电压、电流也被称为接线方式。为保证各种相间短路时方向元件能可靠灵敏动作,反应相间短路故障的方向元件也多采用90'接线。微机继电保护中方向元件可以由控制字(软压板)选择正方向、反方向动作方式。以正方向来说明方向元件的原理。

90"接线功率方向元件所采用的接线方式见表3-1。

 

图片

 

在图3-5(a)中,以亢为参考相量,向超前方向(逆时针方向)作文e相量,再作垂直于已e 相量的直线ab,其阴膨线侧即为i的动作区。因此功率方向元件的判据为相故障分量电流与负载电流之和,以保证方向过电流保护正确判断故障方向。而在中性点不直接接地电网中,无需考虑这点。

 

图片


满足式(3-6m)时,几处于动作区内,正方向功率方向元件动作,表示故障点在保护安装处正方向。满足式(3-6b)时,Ìk处于非动作区内,反方向功率方向元件动作,表示故障点在保护安装处背后。

仍称α为功率方向元件的内角(30°或45°),当I.超前U的角度正好为a时,位于助作区域的中心,正向元件动作最灵敏,最灵敏角为一α。

一般微机继电保护装置采用动作区域为180°,如图3-5(b)所示动作区域为120°,灵皱角仍为-30°,动作区域为一90°~30°。需要注意的是,这个动作区域是针对相间故障的。对于两相式保护,由于B相电流由A、C两相电流合成,所以在通入A、C单相也流做动作区域检查时,所得到的动作区将会有偏移,当然,由于仅在Ⅲ段中计算B相电流,因此这个偏移动作区在围段方向试验才会出现。

以A相方向元件为例,电流ÌtÌA,电压Út取ÚBC,方向元件的内角为a.A相量ÌAe-ja"和B相量ÚBC相位的比较可以变为绝对值的比较,而


图片


可见正方向短路时|A+B|具有最大值,|A--A|具有最小值,方向元件的动作区如图3-6(a)所示。


图片


在微机继电保护中为了调试的方便,通常选用某相电压为基准相量,并约定按顺时针能转为角度增加方向。例如选A相电压为基准相量,U.方向为0°,三相方向元件理想的动作范围如下]如图3-6(b)所示]

A相动作范围为330°<φrA<150°。

B相动作范围为270°>φrB>90°。

C相动作范围为210°<φrC<30°。

调试时在显示窗口上可显示出动作范围的角度数值。

实际上,用数字运算逻辑判断实现的方向元件在动作区内都具有相同的灵敏度。此外,在微机继电保护中实现一些特殊功能也显得十分方便。在方向元件判断为正方向后,置标志位DA为“I”,而在方向状态记忆后,可用软件方式控制其有效时间,例如3s后置标志位DA为“O”,其记忆作用就消失了。这样,对反方向的故障(若故障未能切除),装置就可能动作,可以使保护具有反方向的后备保护功能。

2.按相启动

因方向元件动作十分灵敏,在负载电流作用下就能动作,所以线路发生短路故藏时,只有故障相的方向元件能正确判荔故障方向,而非故障相方向元件受负载电滤(中性点接地电网中非故障相中还有故障分量电流)的作用不能正确判别方向。为此,故障相电流元件应与该相方向元件申联(即相"与")后启动该段时间元件,这就是按相启动。

3.低电压闭锁的方询电流保护

与常规保护相同,微机电赏保护也设计成三段式,三段均可选择带方向用于线路保护或不带方向用于馈线保护。为了提高过电流保护的灵敏度及据高繁套保护动作的可靠性,线路电流保护可经低电压闭锁。这样看起来较复杂,在常规保护中通常很少这样配置,但对微机线路保护设置电压闭铸不需要增加任何硬件,完金采用软件来实现。

在微机继电保护中有两种定值,一种是开关型定值,一种是数值型定值。开关型定值常用定值控制字KG表示,KG一1表示保护投人;KG=0表示保护退出。

由于Ⅰ、Ⅱ、Ⅲ段电流保护的逻辑程序十分相似,下面以Ⅰ段电流保护的逻辑程序为例介绍。低电压闭锁的方向电流速断保护逻辑框图如图3-7所示。


图片


其中,KWl、KW2、KW3为A、B、C相的方向元件,KGL.1为方向元件投入和退出的控制字;KAl、KA2、KA3 为A、B、C相的电流元件(I段,当B相无电流互感器时,就是两相式接线>;KVU12、KVU23、KVU31为 AB、BC、CA相的低电压元件,KG1.2为低电压元件投入和退出的控制字。Ⅱ段、Ⅲ段的逻辑框图与Ⅰ段完全相同。

KWo-KA30-Kvu1.-Kv23。-

飞37·开效油口

由皆上

KGiL1, EOD KO.t KO17 xG1.1

正电源

KOlr 区9-1牌

柔其段、旧段4与段用闻7KG12

图3-7 任电压闭键的方向电流速断保护逻馍框图

在图3-7中,当控制字KG1.1、KGl.2、KG1均为"I"时(Ⅱ段、Ⅲ段相类似》,就构成了带低电压团锁的方向电流保护,其中低电压元件反映的是带有故障相的相间电压。即低电压元件在所在相(如A相)相关的低电压元件(KVU12,KVU31)任一个动作时,即解除闭锁。为防止在线路发生短路故障时,非故障相的方向元件误动作而导致方向电范保护误动,采用方向元件与电流元件相"与",即采用按相启动加以避免。

在一般情况下,电压元件作团镇元件;电流元件作测量元件。对Ⅰ段电流保护电压元件应保证线路末简故障有足够的灵敏度;对Ⅱ段电流保护电压元件皮保证保护区末端短路故障时有足够的灵敏度;对T段电流保护,电流元件应躲过最大负载电流。但是在考虑最大负载电流时,只需考虑正常情况下可能出现的产重情况(双回线之一断开、备用电源自投、环网解环、由调度方式部门提供的事故过负载等)>、可以不考虑负载自启动电流的影响。因此,带低电压闭镇的电流保护灵敏度可以据高。电压元件应躲过保护安装处的最低运行电压。

另外,在中性点直接接地电网中,第Ⅲ段电流元件的电流定值应躲过单相接地时非故障相故障量电流与负载电流之和,以保证方向过电流保护正确判断故障方向,而在中性点不直接接地电网,无需考虑这点。 

可以看出,低电压闭锁元件引入方向电流保护,可提高方向电流保护的工作可靠性,有时也可提高过电流保护的灵敏度。低电压闭锁元件的动作电压一般取60%~70%的额定电压即可。有些保护中还引入负序电压,负序电压动作值取4%~8%的额定电压。

4.低电压闭锁的方向电流保护逻辑实例

如图3-8所示为一个低电压闭锁的三段式方向电流保护逻辑实例,现介绍如下

 

图片

 

其中,KG2.15、KG2.14、KG2.13为电流Ⅰ、Ⅱ、Ⅲ段经方向闭锁控制字,为"1"时投入方向元件;KG2.12、KG2.11、KG2.10为电流Ⅰ、Ⅱ、Ⅲ段经低电压闭锁控制字,为"1"时投入低电压元件;KG2.1、KG2.0为加速电流Ⅱ、Ⅲ段控制字,为"1"时投入后加速;KG2.9=1时,电流加速段经低电压闭锁;KG2.8=1时,PT断线后Ⅰ段方向电流经200ms延时。因为当PT断线失电压后,过电流保护的方向元件将不能正常工作,过电流保护各段不再带方向(H1为"1"将Y1、Y2、Y3开放)。因无压电压闭锁开放(将Y4、Y5、Y6开放),此时电流速断根据控制字(KG2.8=1)选择,经200ms延时后(经H2开放Y7),出口跳闸。